Dynamic model and method of detecting a single-phase voltage dip based on autocorrelation function and neural network autoencoder
- Autores: Wang X.1, Eliseev V.L.1
-
Afiliações:
- National Research University «Moscow Power Engineering Institute»
- Edição: Nº 1 (2025)
- Páginas: 15-25
- Seção: COMPUTER SCIENCE, MANAGEMENT AND SYSTEM ANALYSIS
- ##submission.datePublished##: 30.05.2025
- URL: https://innoscience.ru/1816-210X/article/view/680775
- EDN: https://elibrary.ru/XWAMKU
- ID: 680775
Citar
Texto integral
Resumo
The paper deals with the problem of detecting the moment of power quality violation in the alternating current electric network. A new ACF-AE method of power quality control is proposed. This method uses the autocorrelation function of the voltage signal and a neural network autoencoder that recognizes anomalies. The effectiveness of various power quality control methods is compared with the proposed one. The experimental results show that the proposed method can accurately detect the start and end points of a single-phase dip in the voltage signal containing noise and harmonics. Compared with the traditional threshold method based on the root mean square value, the proposed method has better accuracy and reliability.
Palavras-chave
Texto integral
Введение
Качество электроэнергии, являясь ключевым элементом современных энергосистем, имеет решающее значение для стабильной работы промышленного производства, бытового потребления электроэнергии и электронного оборудования. Его важность подчеркивается наличием национальных и международных стандартов. Кроме собственно показателей качества электроэнергии, в стандартах закрепляются методы измерения этих показателей [1, 2]. С ростом спроса и увеличением сложности электрооборудования проблемы с качеством электроэнергии становятся все более заметными. Это не только влияет на эффективность и надежность системы, но также может привести к повреждению оборудования и даже к несчастным случаям.
С одной стороны, электрическая нагрузка развивающихся отраслей продолжает расти. С развитием новых энергетических технологий нового поколения к ним подключается большое количество географически рассредоточенных и слабоконтролируемых распределен-ных энергетических ресурсов [3] (в том числе, ветроэнергетики [4] и солнечной энергии). Прерывистая выходная мощность источников энергии вызывает увеличение количества гармоник, обратной последовательности и реактивных токов в распределительной сети, инициируя изменения напряжения, тока и частоты в процессе подачи электроэнергии.
С другой стороны, с общим повышением уровня развития промышленности различ-ные современные системы измерения, управления и контроля снизили отказоустойчивость по качеству электроснабжения электросетей. Помехи со стороны сети не только напрямую приводят к нештатной работе энергооборудования и снижению энергоэффективности, но также в серьезных случаях это может даже привести к повреждению энергетического оборудования, вызывая огромные экономические потери [5]. Крайне важно повысить качество электроэнергии. Использование более совершенных технических средств для оперативного контроля показателей качества электроэнергии в энергосистеме имеет большое значение для дальнейшего снижения затрат на техническое обслуживание энергосистемы и повышения ее стабильности.
Обнаружение начальной и конечной точек интервала нарушения показателей качества электроэнергии играет ключевую роль в процессе управления качеством. Это связано с тем, что на качество электроэнергии обычно влияет ряд событий, таких как короткие замыкания, операции переключения, удары молнии, отказы оборудования и т.д., что приводит к мгновенным изменениям формы сигналов напряжения и тока. Эти события возмущений не распределены равномерно, но имеют четкие начальные и конечные моменты. Информация о начальной точке очень ценна для последующей сегментации возмущений [6]. В зависимости от начальной точки интервал помех можно разделить, а затем анализировать отдельно характеристики качества электроэнергии в каждом периоде времени. Кроме того, локализация нарушений качества электроэнергии может способствовать разработке стратегии предотвращения сбоев и адаптивного управления. Благодаря частому мониторингу начальных и конечных точек, центр диспетчеризации электроэнергии может прогнозировать возможные проблемы и заранее принимать меры вмешательства, такие как корректировка распределения нагрузки, запуск резервного источника питания или реализация компенсации переходных процессов, чтобы уменьшить последствия ухудшения качества электроэнергии.
Наконец, с точки зрения правового регулирования, регистрация нарушений качества электроэнергии является важным доказательством соответствия соответствующим нормативным требованиям. Во многих странах и регионах установлены минимальные пределы показателей качества электроэнергии. Обнаружение и фиксация нарушений на ранних стадиях может выступать юридически обоснованной доказательной базой.
Ранние исследования в основном были сосредоточены на традиционных методах обработки сигналов. Например, в стандартах [1] и [2] рекомендуется использовать среднеквадратический метод (RMS) для измерения амплитуды и длительности, но определение среднеквадратического значения задает, что измерение основано на серии выборок непрерывное среднее значение сигнала. В статье [7] для обнаружения используется метод RMS, а интервал обнаружения различных типов аномалий напряжения составляет от 10 мс до 10 мин. Частота выборки определяет временное разрешение расчета среднеквадратического значения. Если частота выборки недостаточно высока, быстрые изменения провала напряжения могут быть не зафиксированы вовремя. Вейвлет-преобразование широко используется при анализе провалов напряжения [8]. Однако в практических приложениях выбор оптимальной базисной вейвлет-функции затруднен и напрямую повлияет на результаты обработки сигнала вейвлет-преобразованием. S-преобразование является расширением вейвлет-преобразования [9], но оно требует длительных математических вычислений даже для коротких последовательностей данных и обычно не подходит для приложений реального времени. В статье [10] предлагается метод, основанный на независимом анализе компонентов (ICA), позволяющий точно оценить время начала и окончания перебоев в подаче электроэнергии, но ICA предполагает, что анализируемый сигнал образуется статистически независимыми и некоррелированным компонентами, что может быть неверно в реальной энергосистеме.
Резюмируя, следует отметить, что существующие методы обнаружения сбоев качества электроэнергии обладают определенными недостатками, особенно в части быстродействия выявления сбоя и помехоустойчивостью, что делает актуальной задачу разработки новых, более совершенных методов.
Метод исследования
В работе [11] авторами был предложен метод обнаружения разладки модели динамического объекта с помощью взаимно-корреляционной функции (ВКФ) и нейросетевого автокодировщика. Предлагается применить аналогичный подход для обнаружения сбоев качества электричества. В задаче с моделью динамического объекта использовались сигналы входа и выхода модели, однако в случае с выявлением сбоев электрического питания есть только один анализируемый сигнал, поэтому целесообразно использовать автокорреляционную функцию.
Как известно, автокорреляционная функция (АКФ, ACF, auto-correlation function) является одной из важнейших характеристик как стохастических, так и детерминированных сигналов в непрерывном и дискретном времени. АКФ по существу описывает силу связи между сигналом и его задержанной копией. В случае изменения амплитуды периодического сигнала, например, колебаний напряжения в сети переменного тока, эта функция может претерпевать изменения в положении пика, амплитуде и форме функции. Поскольку АКФ описывает корреляцию самого сигнала, она тесно связана со временем сигнала. Результаты АКФ часто могут напрямую соответствовать реальным условиям эксплуатации электросети.
АКФ сигнала u(t) определяется интегралом:
(1)
По аналогии с формулой (1) АКФ дискретного сигнала u(n) и его задержанной копии на время в окне шириной d отсчетов начиная с отсчета временного ряда k может быть представлена в виде:
(2)
Индекс k указывает на место во временном ряде, в котором рассчитана данная АКФ, а аргумент является смещением одного ряда относительно другого, для которого рассчитывается одно значение дискретной АКФ. Таким образом, АКФ в позиции k можно рассматривать, как вектор . Такой вектор является точкой в пространстве размерности 2d-1.
Локализация нарушений качества электроэнергии с помощью АКФ ‒ это метод, который использует характеристики временного ряда напряжений, измеренный в энергосистеме. При возникновении переходных явлений (таких как гармоники, колебания напряжения) формируются специфические автокорреляционные характеристики, существенно отличающиеся от автокорреляционных функций в нормальных условиях эксплуатации. Сигнал напряжения формирует облако точек, расположенное в определенной области 2d-1-мерного пространства в разное время. Пример такой области для пространства размерности d=3 приведен на рис. 1, где указана область RN, когда возмущения напряжения не происходит.
Рис. 1. Векторное пространство АКФ
Fig. 1. Vector space of ACF
При изменении сигнала напряжения относительно нормальных, заданных в области RN, АКФ также будет меняться. Предположим что сигнал напряжения в момент времени p представлен точкой Rp в области нормальных вариантов АКФ RN. Тогда при изменении сигнала напряжения АКФ в другой момент времени q>p будет представлена точкой Rq на рис. 1. Другими словами, изменения вектора автокорреляционной функции напряжения отражают пространственно-временную эволюцию динамических характеристик напряжения, что имеет большое значение для понимания и прогнозирования нарушений напряжения. Выявленный в векторном пространстве АКФ дрейф за пределы области RN нормального динамического поведения системы означает, что в момент времени q обнаружено нарушений напряжения.
Для обнаружения нарушений напряжения нужен способ запомнить множество точек АКФ при нормальных сигналах напряжения, а также способ обнаружить отличие АКФ от нормы. Для этого воспользуемся нейросетевым автокодировщиком (AE, autoencoder), который может запоминать векторы обучающего множества и потом воспроизводить запомненные. В качестве вектора, подаваемого на вход автокодировщика, возьмем рассчитанную АКФ Rk. Обучение автокодировщика будем производить на АКФ наблюдаемого процесса в нормальных условиях.
Функционально нейросетевой автокодировщик копирует входные данные на выход. По архитектуре он похож на многослойный персептрон. Однако особенностью обученного автоколировщика является то, что он копирует только знакомые данные, которые были представлены в обучающей выборке. Автокодировщик сжимает входные данные для представления их в скрытом пространстве меньшей размерности, а затем восстанавливает из этого представления выходные данные. Ошибка восстановления входного вектора на выходе зависит от того, похож ли входной вектор на те, которые были в обучающих данных.
Рис. 2. Архитектура нейросетевого автокодировщика
Fig. 2. Architecture of a neural network autoencoder
Автокодировщик состоит из двух частей (рис. 2): кодировщика и декодировщика. Кодировщик отвечает за сжатие входа в скрытое пространство и представлен функцией кодирования Декодирировщик предназначен для восстановления входа из скрытого пространства и представлен функцией декодирования Размерности векторов x и совпадают, размерность вектора z меньше размерности x. Таким образом,
(3)
Обозначим функцию, выполняемую автокодировщиком, как .
Алгоритм синтеза детектора нарушений напряжения
Синтез детектора обычно включает следующие шаги:
Шаг 1: Получение исходного сигнала напряжения. Это будут временные ряды u(n), где – индекс отчета времени, а L – длина времени наблюдения.
Шаг 2: Расчет АКФ. Рассчитаем АКФ по временным рядам u(n) с шагом d отсчетов и получим набор векторов АКФ Rk, описывающий нормальное напряжение. Далее для обозначения номера окна, в котором рассчитывалась АКФ, будем использовать индекс k, значения которого находятся в интервале: .
Шаг 3: Обучение автокодировщика. Векторы АКФ, представленные нормальный сигнал напряжения, используются в качестве набора обучающих данных автокодировщика. Обучение осуществляется для минимизации ошибки реконструкции , где и – евклидова длина вектора.
Шаг 4: Вычисление порога. Максимальная ошибка реконструкции , полученная при обучении, является порогом срабатывания для обнаружения АКФ, непохожих на нормальные.
После получения детектора его можно использовать для обнаружения напряжения. Ниже приведены общие шаги по использованию детектора:
Шаг 1: Собрать сигнал напряжения u(n) за период времени L.
Шаг 2: Рассчитать АКФ по временным рядам u(n) с шагом d отсчетов и получить набор векторов АКФ .
Шаг 3: Рассчитать реконструированное значение АКФ с помощью автокодировщика и получить ошибку реконструкции .
Шаг 4:Сравнить r(k) с пороговым значением rth если то провала напряжения нет, иначе на интервале последних d отсчетов времени есть провал напряжения.
Будем далее обозначать предложенный метод синтеза и обнаружения сбоев по характерным структурным элементам: ACF-AE.
Эксперименты
Результаты данной работы получены из сигналов, синтезированных по модели качества электроэнергии, описанной в литературе [12]. Частота дискретизации сигнала сетевого напряжения установлена на уровне 4000 Гц, что соответствует 0,25 мс, а общее время выборки составляет 0,5 сек. Частота питающего напряжения равна 50 Гц. Общее количество точек выборки – 2000.
Сигнал напряжения u(n) с провалом 15 % показан на рис. 3. Падение напряжения происходит с момента 0,12525 сек до 0,32500 сек. Амплитуда показана в относительных единицах к номинальному уровню напряжения и обозначена по международным правилам как «p.u.» (per unit).
Рис. 3. Сигнал напряжения с падением 15 %
Fig. 3. Voltage signal with 15 % reduction
Для обнаружения провалов напряжения используются два метода: предложенный метод и традиционный среднеквадратический метод (RMS).
Краткосрочное среднеквадратическое значение uRMS рассчитывается по формуле:
(4)
В формуле (4) u(n)-я точка выборки сигнала напряжения, а d - длина временного интервала расчета, который обычно является целым числом, кратным полупериодной частоте выборки энергосистемы. В стандарте IEEE1564-2014 [2] рекомендуется вычислять RMS напряжения в пределах окна, длина которого составляет один период номинальной частоты энергосистемы.
Результат обнаружения сигнала напряжения с провалом 15 % методом RMS с окном в 1 период и шагом перемещения 1 показан на рис. 4. RMS нормального напряжения составляет 0,7071. Когда RMS ниже порогового значения rth= 0,634, считается, что обнаружено провала напряжения на 15 %.
Рис. 4. Результат обнаружения провала напряжения методом RMS
Fig. 4. Result of voltage dip detection by RMS method
Время начала и окончания провала напряжения, обнаруженного методом RMS, составляет 0,13400 и 0,33630 сек. Ошибки определения начальной и конечной точек составляют 8,75 мс и 11,30 мс соответственно.
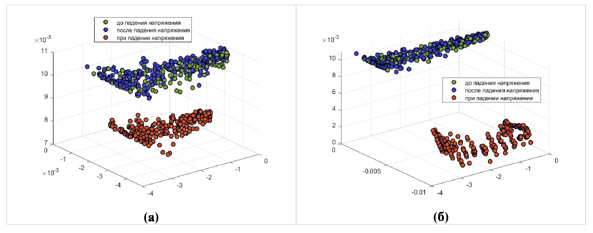
Далее предлагаемый метод используется для обнаружения аномалий в сигнале напряжения. АКФ рассчитывается при длине окна d=3. АКФ нормального напряжения и напряжения при падении показана на рис. 5 в трехмерном пространстве.
Рис. 5. АКФ нормального напряжения (а) и АКФ при падении напряжения (б) в трехмерном пространстве
Fig. 5. ACF of normal voltage (a) and ACF for voltage dip (b) in three-dimensional space
Видно, что вектор АКФ изменился в трехмерном пространстве до и после изменения сигнала напряжения. Таким образом, провал напряжения можно обнаружить с помощью АКФ. Для обнаружения точек переходных процессов напряжения, применим автокодировщик. Для этого проведем нормировку АКФ для нормального напряжения, относительно которого мы ходим определять начальную и конечную точки провала напряжения. Эти значения АКФ будут использоваться для обучения автокодировщика. Используется нейросеть типа «многослойны перцептрон» (MLP) с двумя слоями и архитектурой , т.е. на входе вектор АКФ размерности 2d-1, поступающий на скрытый слой 25 нейронов, далее выходной слой из нейронов. Количество эпох обучения – 300.
Результат обнаружения сбоя автокодировщиком показан на рис. 6. Временами начала и окончания обнаруженного провала напряжения являются 167-е и 434-е окна, т.е. 0,12530-я сек и 0,32550-я сек (501-я и 1302-я точки выборки).
Рис. 6. Результат обнаружения провала напряжения предложенным методом
Fig. 6. Result of voltage dip detection by the proposed method
В табл. 1 приведены результаты сравнения двух методов.
Таблица 1. Сравнение результатов обнаружения провала в сигнале напряжения по предложенному способу и методу RMS
Table 1. Comparison of the voltage dip detecting results by the proposed method and the RMS method
Тип сбоя | Время начала сбоя, с | Время окончания сбоя, с | ||||
Факт | Обнаружение методом | Обнаружение методом | Факт | Обнаружение методом | Обнаружение методом | |
Провал напряжения | 0,12525 | 0,13400 | 0,12530 | 0,32500 | 0,33630 | 0,32550 |
В табл. 2 приведены задержки детектирования двух методов. Метод ACF-AE позволяет лучше определить время начала и окончания провала напряжения, чем метод RMS.
Таблица 2. Задержка обнаружения провала в сигнале напряжения по предложенному способу и методу RMS
Table 2. Delay in voltage dip detecting by the proposed method and the RMS method
Тип сбоя | Задержка обнаружения | Задержка обнаружения | ||
| Методом RMS | Методом ACF-AE | Методом RMS | Методом ACF-AE |
Провал напряжения | 8,75 | 0,05 | 11,30 | 0,50 |
Рассмотрим эксперименты по обнаружению провала напряжения на сигнале u(n) с наложенным белым шумом с отношением сигнал/шум 60 и сигнале u(n), содержащем 3-ю и 5-ю гармоники. Результаты обнаружения аномалии в сигнале напряжения методом RMS показаны рис. 8. Время начала и окончания сигнала напряжения с шумом и провалами, обнаруженными методом RMS, составляют 0,13700 и 0,33330 сек. Ошибки определения начальной и конечной точек составляют 11,75 мс и 8,30 мс соответственно. Время начала и окончания сигнала напряжения с гармониками и провалами, обнаруженными методом RMS, составляют 0,14150 и 0,33330 сек. Ошибки определения начальной и конечной точек составляют 16,25 мс и 8,30 мс соответственно. Аналогично АКФ рассчитывается при длине окна d=3. Формы вектора АКФ в трехмерном пространстве, когда провалы напряжения сопровождаются шумами и гармониками, показаны на рис. 9.
Рис. 7. Сигнал с наложенным белым шумом с отношением сигнал/шум 60 (а) и сигнал, содержащий 3-ю и 5-ю гармоники (б)
Fig. 7. A signal with superimposed white noise with a signal-to-noise ratio of 60 (a) and a signal containing the 3rd and 5th harmonics (b)
Рис. 8. Результаты обнаружения провала напряжения при наличии шума (а) и гармоник (б) методом RMS
Fig. 8. Results of voltage dip detection in the presence of noise (a) and harmonics (b) by the RMS method
Рис. 9. Векторы АКФ сигнала напряжения с падением напряжения 15% при наличии шума (а) и гармоник (б)
Рис. 9. ACF vectors of a voltage signal with 15 % reduction in the presence of noise (a) and harmonics (b)
Как видим, в трехмерном пространстве существует четкое разделение между АКФ, когда провал напряжения сопровождается шумом и гармониками, и АКФ нормального сигнала напряжения. Результаты обнаружения автокодировщика показаны на рис. 10. Временами начала и окончания обнаруженного провала напряжения являются 167-е и 434-е окна, т.е. 501-я и 1302-я точки выборки.
Рис. 10. Результаты обнаружения провала напряжения при наличии шума (а) и гармоник (б) предложенным методом\
Fig. 10. Results of voltage failure detection in the presence of noise (a) and harmonics (b) by the proposed method
В табл. 3 показаны результаты обнаружения двумя методами сигналов напряжения с гармониками и провалами и сигналов напряжения с шумом и провалами соответственно.
Таблица 3. Сравнение результатов обнаружения аномалий напряжения двумя методами
Table 3. Comparison of voltage anomaly detection results by two methods
Тип сбоя | Время начала сбоя, с | Время окончания сбоя, с | ||||
Факт | Обнаружение методом | Обнаружение методом | Факт | Обнаружение методом | Обнаружение методом | |
Провал напряжения с шумом | 0,12525 | 0,13700 | 0,12530 | 0,32500 | 0,33330 | 0,32550 |
Провал напряжения с гармониками | 0,12525 | 0,14150 | 0,12530 | 0,32500 | 0,33330 | 0,32550 |
В табл. 4 приведены задержки детектирования двух методов. Метод ACF-AE также подходит для сигналов напряжения, содержащих гармоники, и обладает определенными противошумовыми возможностями.
Таблица 4. Задержка обнаружения провала в сигнале напряжения по предложенному способу и методу RMS
Table 4. Delay in voltage dip detecting by the proposed method and the RMS method
Тип сбоя | Задержка обнаружения начала сбоя, мс | Задержка обнаружения окончания сбоя, мс | ||
методом RMS | методом ACF-AE | методом RMS | методом ACF-AE | |
Провал напряжения с шумом | 11,75 | 0,05 | 8,30 | 0,50 |
Провал напряжения с гармониками | 16,25 | 0,05 | 8,30 | 0,50 |
Эксперименты показывают, что предложенный метод лучше традиционного метода RMS обнаруживает провалы напряжения. В силу своего определения длина расчетного окна метода RMS составляет один период сигнала напряжения, что приводит к естественным дефектам по сравнению с предложенным методом и большей восприимчивости к шуму и гармоникам.
Заключение
Предлагается новый метод обнаружения напряжения ACF-AE, который использует АКФ и автокодировщик для определения времени начала и окончания провала напряжения. Результаты исследования показывают, что предложенный метод позволяет с достаточной точностью определить начальную и конечную точки провала, когда измеренное напряжение имеет шум или гармоники. Предложенный метод эффективнее, чем традиционный метод RMS.
В данной работе не исследованы сигналы напряжения при разных частотах дискретизации, а увеличение частоты дискретизации может улучшить точность обнаружения. Также рекомендуется продолжить исследования, распространив постановку задачи на сигналы реального напряжения, содержащие нарушения качества электроэнергии.
Sobre autores
X. Wang
National Research University «Moscow Power Engineering Institute»
Autor responsável pela correspondência
Email: vansiuech@mpei.ru
ORCID ID: 0009-0006-1319-6374
Rússia, Moscow
V. Eliseev
National Research University «Moscow Power Engineering Institute»
Email: vlad-eliseev@mail.ru
ORCID ID: 0000-0002-9341-7475
Rússia, Moscow
Bibliografia
- ГОСТ 30804.4.30-2017 (IEC 61000-4-30:2015) Электромагнитная совместимость(ЭМС) Часть 4-30. Методы испытаний и измерений. Методы измерений качества электрической энергии. – Москва: Стандартинформ, 2020. – 51 с.
- IEEE Guide for Voltage Sag Indices // IEEE Std20 June 2014. 1564-2014. Pp.1-59. – doi: 10.1109/IEEESTD.2014.6842577.
- Chen, S. Evaluation of Power Quality and Reliability of Distributed Generation in Smart Grid / S. Chen, J. Zhang, L.Wang et al. // Earth and Environmental Science. 2021. No 632(4). Pp. 1-6.
- Ruksana, S. K. Recent Challenges for Power Quality Impacts on Grid Integrated Wind Energy System / S. K, Ruksana, S.K. Singh, A.K. Goswami et al. // A Review. 2018 Second International Conference on Intelligent Computing and Control Systems, 2018.
- Khetarpal, P. A critical and comprehensive review on power quality disturbance detection and classification / P. Khetarpal, M.M. Tripathi // Sustainable Computing: Informatics and Systems. 2020. 28: 100417.
- Bollen, M.H.J. Signal processing of power quality disturbances / M.H.J. Bollen, Gu I.Y.H. // John Wiley & Sons, 2006.
- Семёнов, А.С. Контроль качества электроэнергии и анализ полученных результатов при измерении напряжения / А.С. Семёнов, В.А. Бондарев, С.А. Заголило // Фундаментальные исследования. 2017. № 9 (1). С.86-92.
- Latran, M.B, A novel wavelet transform based voltage sag/swell detection algorithm / M.B, Latran, A. Teke // International Journal of Electrical Power & Energy Systems. 2015, 71. Рp. 131-139.
- Mishra, S. Detection and classification of power quality disturbances using S-transform and probabilistic neural network / S. Mishra, C.N. Bhende, B.K. Panigrahi // IEEE Transactions on power delivery, 2007. No 23(1). Рp. 280-287.
- Nagata, E.A. Voltage sag and swell detection and segmentation based on Independent Component Analysis / E.A. Nagata, D.D. Duque C.A. Ferreira et al. // Electric Power Systems Research. 2018. No 155. Pp.274-280.
- Ван, Сь. Обнаружение разладки модели динамического объекта с помощью функции корреляции / Ван Сюэчунь, В.Л. Елисеев // XXX международная научно-техническая конференция студентов и аспирантов «Радиоэлектроника, Электротехника и Энергетика». Тезисы докладов – М: Центр полиграфических услуг «Радуга», 2024. С. 301.
- Igual. R, Integral mathematical model of power quality disturbances / R. Igual, C. Medrano, F.J. Arcega et al. // 2018 18th International Conference on Harmonics and Quality of Power (ICHQP). IEEE, 2018. Pp.1-6.
Arquivos suplementares
