Разработка методологии оценки прогноза показателей строительной сферы по РФ
- Autores: 1
-
Afiliações:
- Самарский национальный исследовательский университет имени академика С.П. Королева
- Edição: Volume 1 (2024)
- Páginas: 128-129
- Seção: ЧАСТЬ I. Математические методы в экономике
- URL: https://innoscience.ru/osnk-sr2024/article/view/631410
- ID: 631410
Citar
Texto integral
Resumo
Обоснование. Согласно государственной стратегии развития инфраструктуры регионов, актуальным является развитие жилого и нежилого фонда как составляющей общей строительной сферы. Научная новизна данной исследовательской работы заключается в применении математического инструментария, динамического анализа с целью изучения и прогнозирования ключевых строительных показателей. Рассчитанные значения способствуют развитию Самарского региона и компании ООО «ГРАД-ИНВЕСТ».
Значения показателей Самарской области и компании соответствуют вектору развития страны.
Цель — разработка методологии оценки прогноза показателей строительной сферы по РФ.
Методы. Формирование информационной базы о существующем развитии состояния жилого и нежилого фонда по РФ. Применение инструмента динамического анализа для построения качественного прогноза. Расчет основных показателей средствами динамического анализа.
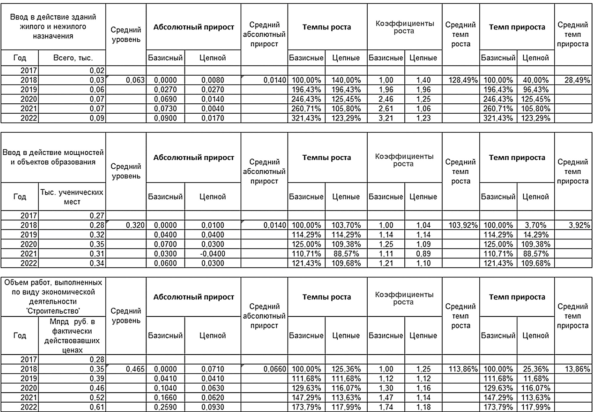
Результаты. Изучены масштабы развития состояния жилого и нежилого фонда по РФ. Изучены основные статистические показатели и выявлены трендовые модели. «ГРАД-ИНВЕСТ» в Самарском регионе существует пять лет. В этой компании существует отдел бизнес-аналитики, который мониторит данные и делает сравнительный анализ с тенденциями по РФ. Изучено состояние компании «ГРАД-ИНВЕСТ» и соотношение показателей, аналогичных для РФ. Показатели по РФ: средний уровень составляет 227,7 [1]; средний абсолютный прирост равен 12,88, что свидетельствует о стабильном увеличении показателей; средний темп роста впечатляющий и составляет 105,67 % [2], что говорит о высокой динамике развития данной сферы; средний темп прироста равен 5,67 % [3], что указывает на постепенное, но стабильное увеличение показателей. Показатели строительной компании «ГРАД-ИНВЕСТ» представлены на рисунке 1.
Рис. 1. Расчетные показатели компании «ГРАД-ИНВЕСТ»
Значения показателей Самарской области и компании соответствуют вектору развития страны.
Выводы. На первом этапе формирования методологии мы провели детальный анализ информации о состоянии строительной сферы в РФ, применив инструменты динамического анализа. Этот этап играет ключевую роль в понимании текущего положения дел и определении основных тенденций развития данной отрасли. На втором этапе разработки методики мы сосредоточились на формировании блока прогнозных показателей. Это включало не только оценку будущего развития строительной сферы, но и учет возможных вариаций и факторов, влияющих на этот процесс. Сравнительный анализ различных методов прогнозирования позволил нам выявить наиболее надежные и точные подходы к прогнозированию. Третий этап работы методологии заключается в сопоставлении полученных результатов с текущим состоянием региональных компаний в сравнении с уровнем компаний в РФ в целом. Это важный шаг для понимания, насколько региональные компании соответствуют общему тренду развития отрасли и какие факторы могут влиять на их конкурентоспособность. На последнем, четвертом этапе мы акцентируем внимание на постоянной коррекции региональных показателей. Это необходимо для того, чтобы адаптировать нашу методологию к изменяющимся условиям рынка и обеспечить ее актуальность и эффективность в долгосрочной перспективе. Постоянное обновление данных и анализ трендов позволит нам оперативно реагировать на изменения и принимать обоснованные решения в строительной сфере.
Palavras-chave
Texto integral
Обоснование. Согласно государственной стратегии развития инфраструктуры регионов, актуальным является развитие жилого и нежилого фонда как составляющей общей строительной сферы. Научная новизна данной исследовательской работы заключается в применении математического инструментария, динамического анализа с целью изучения и прогнозирования ключевых строительных показателей. Рассчитанные значения способствуют развитию Самарского региона и компании ООО «ГРАД-ИНВЕСТ».
Значения показателей Самарской области и компании соответствуют вектору развития страны.
Цель — разработка методологии оценки прогноза показателей строительной сферы по РФ.
Методы. Формирование информационной базы о существующем развитии состояния жилого и нежилого фонда по РФ. Применение инструмента динамического анализа для построения качественного прогноза. Расчет основных показателей средствами динамического анализа.
Результаты. Изучены масштабы развития состояния жилого и нежилого фонда по РФ. Изучены основные статистические показатели и выявлены трендовые модели. «ГРАД-ИНВЕСТ» в Самарском регионе существует пять лет. В этой компании существует отдел бизнес-аналитики, который мониторит данные и делает сравнительный анализ с тенденциями по РФ. Изучено состояние компании «ГРАД-ИНВЕСТ» и соотношение показателей, аналогичных для РФ. Показатели по РФ: средний уровень составляет 227,7 [1]; средний абсолютный прирост равен 12,88, что свидетельствует о стабильном увеличении показателей; средний темп роста впечатляющий и составляет 105,67 % [2], что говорит о высокой динамике развития данной сферы; средний темп прироста равен 5,67 % [3], что указывает на постепенное, но стабильное увеличение показателей. Показатели строительной компании «ГРАД-ИНВЕСТ» представлены на рисунке 1.
Рис. 1. Расчетные показатели компании «ГРАД-ИНВЕСТ»
Значения показателей Самарской области и компании соответствуют вектору развития страны.
Выводы. На первом этапе формирования методологии мы провели детальный анализ информации о состоянии строительной сферы в РФ, применив инструменты динамического анализа. Этот этап играет ключевую роль в понимании текущего положения дел и определении основных тенденций развития данной отрасли. На втором этапе разработки методики мы сосредоточились на формировании блока прогнозных показателей. Это включало не только оценку будущего развития строительной сферы, но и учет возможных вариаций и факторов, влияющих на этот процесс. Сравнительный анализ различных методов прогнозирования позволил нам выявить наиболее надежные и точные подходы к прогнозированию. Третий этап работы методологии заключается в сопоставлении полученных результатов с текущим состоянием региональных компаний в сравнении с уровнем компаний в РФ в целом. Это важный шаг для понимания, насколько региональные компании соответствуют общему тренду развития отрасли и какие факторы могут влиять на их конкурентоспособность. На последнем, четвертом этапе мы акцентируем внимание на постоянной коррекции региональных показателей. Это необходимо для того, чтобы адаптировать нашу методологию к изменяющимся условиям рынка и обеспечить ее актуальность и эффективность в долгосрочной перспективе. Постоянное обновление данных и анализ трендов позволит нам оперативно реагировать на изменения и принимать обоснованные решения в строительной сфере.
Sobre autores
Самарский национальный исследовательский университет имени академика С.П. Королева
Autor responsável pela correspondência
Email: artem.vazlevv@gmail.com
студент, группа 7150-380405D, факультет бизнес-информатики
Rússia, СамараBibliografia
- Булгаков А.С. и др. Автоматизация и роботизация строительства. Москва: Высшая школа, 2021. 456 c.
- Блажнов А.А. Основы проектирования сооружений. Москва: Издательство Ассоциации строительных вузов, 2017. 176 c.
- rosstat.gov.ru [Электронный ресурс]. Федеральная служба государственной статистики [дата обращения: 18.02.2024]. Режим доступа: https://rosstat.gov.ru/storage/mediabank/Stroi_111.xls
Arquivos suplementares
