Evaluation of heart rhythm variability in diagnosis of vegetative dysfunction in chronic cerebral ischemia
- Authors: Poverennova I.E.1, Zakharov A.V.1, Vasemazova E.N.1, Khivintseva E.V.1, Novikova N.P.1
-
Affiliations:
- Samara State Medical University
- Issue: Vol 4, No 4 (2019)
- Pages: 25-28
- Section: Diseases of the nervous system
- Published: 15.12.2019
- URL: https://innoscience.ru/2500-1388/article/view/43755
- DOI: https://doi.org/10.35693/2500-1388-2019-4-4-25-28
- ID: 43755
Cite item
Full Text
Abstract
Objectives – the assessment of the possibilities of using heart rhythm variability in the diagnosis of vegetative dysfunction in chronic brain ischemia (CBI).
Material and methods. Сardiointervalography was performed for 157 patients with varying intensity of CBI at rest and while performing functional tests. The resulting statistical and spectral parameters were estimated on the basis of multiple regression analysis depending on the severity of the CBI. The parameters, obtained as a result of spectral analysis of cardiointervalography, were used as the predictor data: low, high frequency end and their integrative indicators.
Results. With an increase in the severity of CBI, there is a clear tendency towards an increase in heart rate variability with a predominance of autonomous regulation, against the background of its expressed decentralization during physical exercise. The obtained model describes the changes in cardiointervalography that occur with the progression of CBI. These changes can act as independent factors aggravating the course of concomitant cardiovascular pathology, or can serve as its trigger factors.
Conclusion. The obtained data may indicate a decrease in the adaptive effects of suprasegmental structures of the autonomic nervous system on the cardiac cycle. Various methods of analysis of cardiointervalography make it possible to conduct a multilevel analysis of the heart rhythm, to identify not only the obvious pathology of the regulation of cardiac activity, but also the violation of its adaptive mechanisms.
Full Text
ХИМ – хроническая ишемия головного мозга; ВД – вегетативная дисфункция; ВНС – вегетативная нервная система; ВРС – вариабельность ритма сердца; КИГ – кардиоинтервалография; ЧСС – частота сердечных сокращений.
ВВЕДЕНИЕ
Хроническая ишемия головного мозга (ХИМ) является одной из актуальных проблем современной медицины. По мере увеличения продолжительности жизни наблюдается нарастание степени выраженности ХИМ, что сопровождается нарушениями со стороны сердечно-сосудистой и других висцеральных систем организма [1].
Синдром вегетативной дисфункции (ВД) в настоящее время рассматривается как патология, коморбидная хронической ишемии мозга, сопровождающая ее по мере развития [2]. Изменения, происходящие в вегетативной нервной системе (ВНС), предшествуют возникающим впоследствии неврологическим нарушениям и служат проявлением дезадаптивных реакций [3]. С увеличением возраста у пациента происходит градация ВД [4].
Синдром ВД при ХИМ проявляется преимущественно вегетативными симптомами и эмоциональными нарушениями. Клинические проявления ВД и их диагностика достаточно субъективны, поскольку базируются на ощущениях самого пациента. В этой связи вопросы диагностики и объективизации вегетативных нарушений при ХИМ приобретают особую актуальность. Для диагностики ВД используется метод исследования вариабельности ритма сердца (ВРС) [5, 6], что способствует объективизации проявлений ВД, а также служит для подбора адекватной терапии и оценки эффективности проведенного лечения [7].
Анализ ВРС является общепризнанной, неинвазивной методикой, позволяющей выявить изменения активности симпатического и парасимпатического отделов ВНС и оценить не только фоновое состояние регуляции сердечной деятельности, но и провести оценку ее адаптивных возможностей при использовании различных функциональных проб. Это позволяет выявить и объективно оценить выраженность ВД при самых различных заболеваниях [8].
Существуют различные математические методы анализа ритмограмм: исследование общей вариабельности, периодических составляющих ВРС, внутренней организации динамического ряда кардиоинтервалов. Интерпретация получаемых данных может рассматриваться в разрезе различных концепций, например, в связи с адаптационной реакцией организма, как результат влияния многоконтурной, иерархически организованной многоуровневой системы управления физиологическими реакциями организма, или в связи с деятельностью механизмов нейрогормональной регуляции, как результат активности различных звеньев ВНС. В качестве метода изучения влияния ВНС на организацию сердечного ритма в концепции нейрогуморальной регуляции распространение получил спектральный анализ кардиоинтервалографии, основанный на спектральном анализе Фурье.
ЦЕЛЬ
Оценка возможностей метода исследования вариабельности ритма сердца в диагностике вегетативной дисфункции при хронической ишемии головного мозга.
МАТЕРИАЛ И МЕТОДЫ
Для оценки состояния вегетативной функции применяли аппаратно-программный комплекс «РИТМ-МЭТ», разработанный лабораторией автоматизации диагностических медицинских технологий ФГУП НТЦ РХБГ ФМБА России. Кардиоинтервалографию (КИГ) производили 157 пациентам, находившимся на стационарном лечении с диагнозом «хроническая ишемия головного мозга». Исследовано 57 пациентов с I стадией заболевания (группа 1), 56 – со II стадией (группа 2), 44 – с III стадией ХИМ (группа 3).
При проведении исследования использовали методики фоновой КИГ и с изометрической нагрузочной пробой длительностью 15 минут. В качестве анализируемых параметров выступали показатели мощности основных спектров: высокой частоты (англ. High Frequency – HF, 0,4–0,15 Гц), низкой частоты (англ. Low Frequency – LF, 0,15–0,04 Гц), очень низкой частоты (англ. Very Low Frequency – VLF, 0,04–0,015 Гц). Также оценивали интегральные показатели спектрального анализа: индекс централизации (англ. Index Centralization, IC = (HF + LF) / VLF), индекс вагосимпатического взаимодействия (LF / HF), общий спектр (англ. Total Power – TP). В качестве статического анализа применяли непараметрические методы оценки независимых групп с помощью программы Statistica 12.0 (StatSoft).
РЕЗУЛЬТАТЫ И ОБСУЖДЕНИЕ
Проведено сравнение спектральных анализов ВРС, выполненных в покое (таблица 1) и при функциональных пробах с изометрической нагрузкой (таблица 2).
Группа больных | Спектральные показатели | |||||
TP (мс2) | HF (мс2) | LF (мс2) | VLF (мс2) | IC (ед.) | LF/HF (ед.) | |
1 | 829 [522;1136] | 310 [203;416] | 289 [137;442] | 150 [83;216] | 9 [4;15] | 1 [1;1] |
2 | 965 [717;1213] | 351 [226;477] | 269 [198;340] | 201 [133;269] | 6 [4;10] | 1 [1;2] |
3 | 209 [115;303] | 16 [10;38] | 416 [203;629] | 619 [291;947] | 1 [1;2] | 1 [1;1] |
Среднее значение [95% ДИ] | ||||||
Таблица 1. Спектральные показатели ВРС у пациентов различных групп в покое
Table 1. Spectral parameters of HRV in patients of different groups at rest
Группа больных | Спектральные показатели | |||||
TP (мс2) | HF (мс2) | LF (мс2) | VLF (мс2) | IC (ед.) | LF/HF (ед.) | |
1 | 1241 [749;1733] | 457 [265;649] | 365 [211;519] | 218 [80;357] | 8 [5;10] | 1 [1;1] |
2 | 1193 [865;1520] | 500 [274;725] | 303 [233;373] | 178 [132;224] | 6 [5;7] | 1 [1;1] |
3 | 2070 [1599;2541] | 519 [220;506] | 756 [568;945] | 431 [306;556] | 4 [3;5] | 2 [1;2] |
Среднее значение [95% ДИ]
Таблица 2. Спектральные показатели ВРС у пациентов различных групп
при выполнении пробы с изометрический нагрузкой
Table 2. Spectral parameters of HRV in patients of different groups during functional test with an isometric load
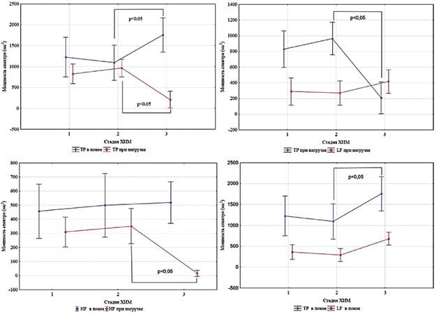
Сравнение показателей КИГ в покое и при выполнении пробы с изометрической нагрузкой отражает характер адаптационных процессов, возникающих в организме при стрессовом воздействии. Полученные показатели демонстрируют различную направленность изменений при градации ХИМ, при этом наиболее явные изменения наблюдаются при III стадии заболевания: отмечается достоверное снижение IC (р < 0,05) при выполнении пробы с изометрической нагрузкой (U критерий) при сравнении пациентов c III стадией по отношению к I и II стадиям ХИМ.
Для определения характера выявленных изменений проведен сравнительный анализ по показателям мощности отдельных спектров для независимых групп (критерий Краскела – Уоллиса). Отмечается значительное возрастание мощности VLF, преимущественно при выполнении пробы с изометрической нагрузкой. Достоверные различия по мощности этого спектра появляются при сравнении пациентов с III стадией ХИМ относительно пациентов с I и II стадиями.
Интерпретацию этого показателя на данный момент однозначно провести затруднительно, но по существующим данным этот параметр возрастает при повышении уровня кортизола, отражающего гуморальную реакцию на стресс. Одной из причин повышения этого показателя является нарушение процессов адаптации с развитием дисбаланса функционирования отделов ВНС. Данные изменения могут быть проявлением гиперадаптивного состояния при III стадии ХИМ за счет активации нейрогуморального и метаболического уровней регуляции. Повышение мощности VLF свидетельствует о нарушении связи автономных (сегментарных) уровней регуляции кровообращения с надсегментарными, а именно, гипофизарно-гипоталамического и коркового уровней. Статистически достоверные различия между отдельными показателями спектрального анализа кардиоинтервалографии представлены на рисунке 1.
Рисунок 1. Динамика мощности спектра кардиоинтервалографии в покое и при пробе с изометрической нагрузкой.
Также наблюдается достоверное снижение мощности общего спектра при выполнении пробы с изометрической нагрузкой и ее возрастание в покое у пациентов с III стадией ХИМ. Представленная картина наблюдается за счет резкого падения мощности HF при выполнении пробы с изометрической нагрузкой и значимого возрастания мощности VLF.
Представленная картина наблюдается за счет резкого падения мощности HF при выполнении пробы с изометрической нагрузкой и значимого возрастания мощности VLF. В данном случае, в рамках концепции нейрогормональной регуляции ритма сердца за счет активности различных звеньев ВНС, это свидетельствует о снижении парасимпатического влияния на деятельность сердца при одновременном возрастании симпатического (сегментарного) влияния. При этом как в состоянии покоя, так и во время выполнения пробы с изометрической нагрузкой отмечается возрастание мощности спектра низких частот (LF). Это говорит о повышении активности постганглионарных симпатических волокон, отражающих симпатическую модуляцию сердечного ритма.
При третьей стадии ХИМ отмечается «срыв» надсегментарного уровня регуляции ВРС, проявляющийся в преобладании автономного контроля частоты сердечных сокращений (ЧСС), в первую очередь за счет парасимпатического влияния, в момент проведения функциональных проб с изометрической нагрузкой. Данные изменения свидетельствуют о снижении адаптивных влияний на ЧСС надсегментарных структур ВНС при физической нагрузке, что может являться одним из факторов, усугубляющих течение сердечно-сосудистых заболеваний, а также их декомпенсации на фоне физиологических нагрузок. Как видно, различные методы оценки КИГ позволяют провести многоуровневый анализ для выявления не только явной патологии регуляции сердечной деятельности, но и нарушения ее адаптационных возможностей при различных видах воздействия.
ЗАКЛЮЧЕНИЕ
При градации ХИМ наблюдается возрастание автономной регуляции с переходом на нейрогуморальный и метаболический уровни, отражающее нарастающий процесс децентрализации. Этот сдвиг имеет наибольшие проявления при пробе с физической нагрузкой. Нарушения адаптационных механизмов регуляции сердечной деятельности могут выступать в качестве самостоятельных факторов, усугубляющих течение сопутствующей сердечно-сосудистой патологии, либо являться причиной для ее возникновения при физических нагрузках. Кардиоинтервалография достаточно четко демонстрирует снижение переносимости физических нагрузок при градации ХИМ, особенно при III стадии. Это связано с нарушением функционирования центральных механизмов регуляции ритма сердца с переходом на более «древние» – сегментарный и гуморальный уровни регуляции сердечной деятельности, что проявляется прежде всего в дезадаптации к факторам внешней среды или к изменениям, происходящим в самом организме.
About the authors
Irina E. Poverennova
Samara State Medical University
Email: zakharov1977@mail.ru
ORCID iD: 0000-0002-2594-461X
PhD, Professor, Head of the Department of neurology and neurosurgery
Russian Federation, SamaraAleksandr V. Zakharov
Samara State Medical University
Author for correspondence.
Email: zakharov1977@mail.ru
ORCID iD: 0000-0003-1709-6195
PhD, Associate Professor, Department of neurology and neurosurgery
Russian Federation, SamaraEkaterina N. Vasemazova
Samara State Medical University
Email: zakharov1977@mail.ru
ORCID iD: 0000-0002-4501-9077
part-time postgraduate student of the Department of neurology and neurosurgery
Russian Federation, SamaraElena V. Khivintseva
Samara State Medical University
Email: zakharov1977@mail.ru
ORCID iD: 0000-0002-1878-7951
PhD, Associate Professor, Department of neurology and neurosurgery
Russian Federation, SamaraNina P. Novikova
Samara State Medical University
Email: zakharov1977@mail.ru
ORCID iD: 0000-0003-4948-5945
PhD, Professor, Department of neurology and neurosurgery
Russian Federation, SamaraReferences
- Putilina MV. Comorbidity in elderly patients. Journal of Neurology and Psychiatry S.S. Korsakova. 2016;116(5):106–111. (In Russ.). [Путилина М.В. Коморбидность у пациентов пожилого возраста. Журнал неврологии и психиатрии им. С.С. Корсакова. 2016;116(5):106–111]. doi: 10.17116 / jnevro201611651106-111
- Yakupov EZ, Nalbat AV. Indices of autonomic homeostasis as predictors of the individual risk of stroke and their dynamics during treatment with Actovegin. Journal of Neurology and Psychiatry S.S. Korsakova. 2015;115(10):31–42. (In Russ.). [Якупов Э.З., Налбат А.В. Показатели вегетативного гомеостаза как предикторы индивидуального риска развития инсульта и их динамика на фоне лечения актовегином. Журнал неврологии и психиатрии им. С.С. Корсакова. 2015;115(10):31–42]. doi: 10.17116/jnevro201511510231-42
- Avrov MV. Quality of life for patients with chronic cerebral ischemia. Journal of Neurology and Psychiatry S.S. Korsakova. 2017;117(4):56–58. (In Russ.). [Авров М.В. Качество жизни пациентов с хронической ишемией головного мозга. Журнал неврологии и психиатрии им. С.С. Корсакова. 2017;117(4):56–58]. doi: 10.17116/jnevro20171174156-58
- Anisimov VN. Aging and age-related illnesses. Clinical Gerontology. 2005;11(1):42–49. (In Russ.). [Анисимов В.Н. Старение и ассоциированные с возрастом болезни. Клиническая геронтология. 2005;11(1):42–49].
- Basantsova NYu, Tibekina LM, Shishkin AN. The role of the autonomic nervous system in the development of cerebral cardiac complications. Journal of Neurology and Psychiatry S.S. Korsakova. 2016;8(3):39–42. (In Russ.). [Басанцова Н.Ю., Тибекина Л.М., Шишкин А.Н. Роль вегетативной нервной системы в развитии цереброкардиальных осложнений. Журнал неврологии и психиатрии им. С.С. Корсакова. 2016;8(3):39–42]. doi: 10.17116/jnevro2017117111153-160
- Baevsky RM, Ivanov GG, Gavrilushkin AP. Analysis of heart rate variability using various electrocardiographic systems (guidelines). Bulletin of arrhythmology. 2002;24:65–86. (In Russ.). [Баевский Р.М., Иванов Г.Г., Гаврилушкин А.П. Анализ вариабельности сердечного ритма при использовании различных электрокардиографических систем (методические рекомендации). Вестник аритмологии. 2002;24:65–86].
- Agranovich NV, Anopchenko AS, Knyshova SA. The effect of exercise therapy on the hemodynamic parameters of elderly patients with arterial hypertension. Spa medicine. 2016;4:59–63. (In Russ.). [Агранович Н.В., Анопченко А.С., Кнышова С.А. Влияние ЛФК на гемодинамические показатели пожилых пациентов с артериальной гипертензией. Курортная медицина. 2016;4:59–63].
- Rakhmatullin AR, Bakhtiyarova KZ, Magzhanov RV. Cardiointervalography in patients with multiple sclerosis. Neurology, neuropsychiatry, psychosomatics. 2016;8(3):39–42. (In Russ.). [Рахматуллин А.Р., Бахтиярова К.З., Магжанов Р.В. Кардиоинтервалография у больных рассеянным склерозом. Неврология, нейропсихиатрия, психосоматика. 2016;8(3):39–42]. doi: 10.14412/2074-2711-2016-3-39-42
Supplementary files





