Bradysystole in permanent atrial fibrillation: clinical importance and modeling in experiment
- Authors: Germanova O.A.1, Shchukin Y.V.1, Galati G.1,2, Pedretti R.2,3
-
Affiliations:
- Samara State Medical University
- I.R.C.C.S. Ospedale Multimedica – Cardiovascular Scientific Institute
- University of Milano Bicocca
- Issue: Vol 9, No 3 (2024)
- Pages: 190-196
- Section: Cardiology
- Published: 17.09.2024
- URL: https://innoscience.ru/2500-1388/article/view/634388
- DOI: https://doi.org/10.35693/SIM634388
- ID: 634388
Cite item
Abstract
Aim – to determine additional risks of developing arterial thrombotic and thromboembolic complications in bradysystolic AF and substantiate the results using modeling of intra-arterial hemodynamics.
Material and methods. A single-center prospective study involving 252 patients: 146 in the main group, 106 in the control group. The main group was divided into 2 subgroups: 1A subgroup RR ECG interval <1.5 seconds; 2B subgroup RR≥1.5 seconds. A comprehensive examination of the patients was carried out. The second stage is prospective comprising an analysis of the development of arterial thrombotic and thromboembolic complications over 1 year. Experimental modeling was carried out using the “Device for simulating intra-arterial circulation”.
Results. Thrombotic and thromboembolic complications were more common in subgroup 1B (OR=8.287 (2.287; 30.040); z=3.219; p=0.001). When analyzing the main parameters of the hemodynamics of the main arteries, the first pulse wave, coming after a long pause of 1.5 seconds or more in AF, was accompanied by a statistically significant increase in all of analyzed parameters. In the experiment, when simulating AF, the intensity of the mechanical impact of the free end of the thread on the wall of the rotameter was maximum when the pause between pulse waves was 1.5 seconds or more (9.70 ± 2.52 mm). At this moment, the piezocrystalline pressure sensor recorded the maximum increase in pressure inside the rotameter tube by an average of 56%.
Conclusions. Bradysystole in AF is associated with a significantly higher likelihood of developing long-term thromboembolic events. The first pulse wave, coming after a long pause between ventricular contractions during AF, leads to a significant increase in the main parameters of the hemodynamics of the main arteries (linear velocity of blood flow, volumetric blood flow). When monitoring heart rate in AF, it is necessary to avoid bradysystole with pauses between ventricular contractions of 1.5 seconds or more, due to a higher risk of stroke, myocardial infarction, and distal arterial embolism in other vascular regions.
Full Text
INTRODUCTION
Atrial fibrillation (AF) is one of the prevalent heart beat disorders in the population. According to the 2023 data of the American Heart Association, the rate of AF cases in Russia is 119–143 per 100,000 people [1]. With age, this rhythm disorder occurs more often, and the vast majority of patients are men. Racial differences in the frequency of occurrence indicate a predominant incidence among the white population. AF is associated with 1.6-2 times elevated risk of mortality, predominantly in women [2, 3]. AF is a proven risk factor for many vascular complications. With AF, the risk of stroke development increases by 2.4 times [3], cognitive disorders and dementia, by 1.5 times [4], sudden death, by 2 times [5], myocardial infarction, by 1.5 times [6], and heart failure, by 5 times [3]. A number of studies have noted an increased likelihood of paroxysmal AF if the average heart rate decreases to less than 65 beats per minute at rest [7].
Validated scales are most widely used to assess the risk of stroke in AF: CHA2DS2-VASc [8], ATRIA [9], GARFIELD [10]. Among the factors taken into account when using these scales, the average ventricular rate in AF is not included. However, clinical recommendations make it a point that the absolute risk associated with the same calculated score on the CHA2DS2-VASc scale has a broad variation in the population; however, placing an individual in a high-risk category indicates a higher likelihood of developing a stroke [11]. The scales ATRIA and GARFIELD-AF that were proposed later, demonstrated better results in terms of statistical evaluation of the quality of their diagnostics, yet a detailed and large-scale assessment of their forecasting effectiveness has not yet been carried out [12].
Control of heart rate (HR) in AF is vital in long-term prognosis of this pathology. Thus, the HOT CAFE study (How to Treat Chronic Atrial Fibrillation) mentioned that the strategy of HR control was comparable with cardioversion or anti-arrhythmic therapy in endpoints of all-cause mortality, rate of thromboembolic events and major bleeding (OR=1.98 [95% CI=0.28-22.3]; P>0.71) [13]. A meta-analysis of randomized clinical trials showed that the HR control and treatment strategies were comparable in the values of total mortality and cardiovascular mortality, as well as stroke mortality [14]. The RACE II study identified that reaching the HR<110 or <80 beats per minute with AF did not affect the morbidity and mortality from cardiovascular diseases [15]. The results of ORBIT-AF study showed that the increase of HR with AF was associated with the growth of total mortality and development of heart failure [16, 17]. Conflicting data were obtained in the studies of HR control strategies in patients with chronic heart failure with preserved or reduced ejection fraction. [18, 19]. Numerous studies have shown that heart rate control in AF was associated with improvement in clinical symptoms and quality of life [20, 21].
In this case, heart rate control in AF is understood as a decrease in the average heart rate in the presence of tachysystole, but the lower limit of heart rate has not yet been designated. Moreover, none of the existing scales for predicting remote vascular complications in AF indicate bradysystole as an additional risk predictor.
AIM
Determine additional risks of developing arterial thrombotic and thromboembolic complications in bradystolic AF and to substantiate the results using intra-arterial hemodynamic modeling.
MATERIAL AND METHODS
A single-center prospective study was conducted involving 252 patients, of which 146 people were included in the main group, and 106 people made up the control group.
Inclusion criteria for the main group: age of 18 and above; constant form AF; signed informed consent to participate in the study.
Inclusion criteria for the control group: age of 18 and above; no AF, premature ventricular contraction (PVC) at least 700 per day.
Exclusion criteria: persistent arterial hypertension with arteriab blood pressure above 160 and 100 mmHg; hereditary hypercholesterolemia; chronic kidney disease with glomerular filtration rate (GFR) <60 ml/min; NYHA class III and more severe chronic heart failure; chronic foci of infection of any localization; intracardiac thrombus detected during examination; implanted artificial heart valve; moderate to severe chronic obstructive pulmonary disease; history of myocardial infarction (MI), acute cerebrovascular accident (ACVA) or transient ischemic attack (TIA) less than 1 year ago; hematological diseases, including those associated with hypercoagulability syndrome; diagnosed aneurysm of the aorta or left ventricular apex; valvular AF; obliterating atherosclerosis of the arteries of the lower extremities above stage I according to Fontaine-Pokrovsky; hemodynamically significant stenosis of the carotid bifurcation; cardiomyopathy. Thus, at the stage of patient selection for the study, the majority of the main causes of possible arterial thromboembolic complications were included in the exclusion criteria.
The main group was divided into two subgroups depending on the maximum duration of the R-R interval on the ECG during AF: subgroup 1А, RR<1.5 s.; subgroup 2B, RR≥1.5 s.
At the first stage of the study, a comprehensive examination of patients was carried out, which included standard laboratory (including determination of lipidogram) and instrumental research methods. The instrumental methods included transthoracic and transesophageal echocardiography (EchoCG), daily Holter ECG monitoring, stress echoCG with a drug test or physical exercise; ultrasound Doppler examination of the brachiocephalic arteries (BCA USDG), USDG of the arteries of the lower extremities, USDG of the renal arteries and abdominal aorta.
The second stage of the study was prospective. An analysis of the development of arterial thrombotic and thromboembolic complications (stroke, myocardial infarction or distal arterial embolism of other localizations) was conducted within 1 year from the start of observation. The fact of complications was clarified by questioning patients after 6 and 12 months from the first visit.
The experimental modeling of intra-arterial processes during AF was performed with the use of the original “Device for modeling intra-arterial circulation” (utility model patent RU202780U1 dated 03.05.2021) (Fig. 1).
Figure 1. “Device for modeling intra-arterial circulation”.
Рисунок 1. «Устройство для моделирования внутриартериального кровообращения».
The utility model comprises a transparent rotameter tube that narrow from the inlet to the outlet and that is mounted with fixtures on a horizontal surface. Elastic silicone tubes, intake and outgoing, are attached to the inlet and outlet of the rotameter to ensure intake and draw-off of the fluid. The fluid use is water-based glycerin solution in the concentration matching the viscosity of whole human blood. A closed loop is created. The fluid is brought into motion by means of electrical pump with a valve that models the regular heart beat and its disorders, the AF, with various maximum intervals between the pulse waves (<1.5 and ≥1.5 s). From the inlet aperture of the rotameter, a nozzle is mounted that allows introduction of a piezoelectric pressure sensor inside the device (response speed of 1.3), and another indicator, a thread 2.5 cm long.
The analysis and generalization of the results obtained were carried out using the principles of evidence-based medicine. The patients included in the study signed an informed consent form. The protocol was approved by the local ethics committee. In the statistical analysis, first, normality of distribution of each parameter was evaluated. If normality of distribution was respected, methods of parametric statistics were used: quantitative variables were characterized by a mean value and standard deviation. Comparisons between subgroups were performed using one-way analysis of variance with F-test values, degrees of freedom (df) and statistical significance of the model (p) reported. In the absence of normal distribution, quantitative indicators were described as medians and 1st and 3rd quartiles (Q1 and Q3). Comparisons between the identified subgroups were performed using the Kruskal–Wallis method, with the H statistic value and p value indicated. Categorical features between subgroups were determined by creating frequency contingency tables using the χ2 test (when the frequency in any of the table cells exceeded 5), using Fisher's exact test (in other cases). For any statistic tests, the criterion of statistical significance was p≤0.05.
RESULTS
In their respective concomitant pathology and severity of its clinical manifestation, the patients from the 1A and 1B subgroups could be compared (Table 1).
Table 1. Clinical characteristics of the patients included in research
Таблица 1. Клиническая характеристика пациентов, вошедших в исследование
Parameter | Category | Subgroup | Statistics | ||
1B n=72 | Control n=106 | ||||
Age, years, median (SD)1 | 63,6 (7,2) | 63,9 (7,4) | 61,7 (8,1) | p = 0,102 F = 2,302 | |
Sex, n (%)2 | M | 38 (51,4) | 38 (52,8) | 54 (50,9) | p = 0,970 df = 2 χ2 = 0,060 |
F | 36 (48,7) | 34 (47,2) | 52 (49,1) | ||
Body mass index, median (Q1, Q3)3 | 28 (23,3; 31) | 28 (25; 31,3) | 27 (23,3; 30) | p = 0,409 H = 1,789 | |
Arterial hypertension, n (%)2 | No | 4 (5,4) | 6 (8,3) | 7 (6,6) | p = 0,973 df = 4 χ2 = 0,507 |
Grade 1 | 31 (41,9) | 2 (40,3) | 44 (41,5) | ||
Grade 2 | 39 (52,7) | 37 (51,4) | 55 (51,9) | ||
Type 2 diabetes mellitus, n (%)2 | 8 (10,8) | 8 (11,1) | 18 (17,0) | χ2 = 1,911 df = 2 p = 0,385 | |
Chronic obstructive pulmonary disease, mild, n (%)2 | 15 (20,3) | 14 (19,4) | 17 (16,0) | p = 0,734 df = 2 χ2 = 0,619 | |
Chronic heart failure: NYHA I, n (%)2 | 43 (58,1) | 39 (54,2) | 61 (57,6) | p = 0,870 df = 2 χ2 = 0,279 | |
Chronic heart failure: NYHA II, n (%)2 | 31 (41,9) | 33 (45,8) | 45 (42,5) | ||
Stable effort angina, n (%)2 | No | 12 (16,2) | 10 (13,9) | 18 (17,0) | p = 0,904 df = 4 χ2 = 1,041 |
Func. cl. I | 35 (47,3) | 34 (47,2) | 54 (50,9) | ||
Func. Cl. II | 27 (36,5) | 28 (38,9) | 34 (32,1) | ||
Chronic kidney disease, n (%)2 | No | 56 (75,7) | 57 (79,2) | 82 (77,4) | p = 0,976 df = 4 χ2 = 0,471 |
Grade 1 | 10 (13,5) | 9 (12,5) | 15 (14,2) | ||
Grade 2 | 8 (10,8) | 6 (8,3) | 9 (8,5) | ||
History of ACVA or TIA, n (%)2 | 5 (6,8) | 4 (5,6) | 7 (6,6) | p = 0,947 df = 2 χ2 = 0,108 | |
History of MI, n (%)2 | 15 (20,3) | 14 (19,4) | 21 (19,8) | p = 0,992 df = 2 χ2 = 0,016 | |
History of distal arterial emboli, n (%)2 | 1 (1,4) | 0 (0) | 1 (0,9) | p = 0,638 df = 2 χ2 = 0,899 | |
Notes.1 1-factor ANOVA; 2 χ2-Pearson’s test; 3 Kruskall-Wallis test
Примечания.1 1-факторная ANOVA; 2 χ2-тест Пирсона; 3 Критерий Краскела – Уоллиса.
However, the analysis of remote thrombotic and thromboembolic complications revealed statistically significant differences between the subgroups. Most often, the complications were to be seen in the 1B subgroup (Table 2).
Table 2. Complications during 1 year.
Таблица 2. Осложнения в течение 1 года.
Complication | Subgroup | p | ||
1А n=74 | 1B n=72 | Control n=106 | ||
MI during 1 year, n (%) | 2 (2,7) | 4 (5,6) | 2 (1,9) | 0,348 |
ACVA during 1 year, n (%) | 2 (2,7) | 8 (11,1) | 1 (0,9) | 0,005 |
Distal arterial emboli during 1 year, n (%) | 1 (1,4) | 2 (2,8) | 0 (0) | 0,119 |
Any complication during 1 year, n (%) | 5 (6,8) | 14 (19,4) | 3 (2,8) | <0,001 |
In other words, if patients had AF with the maximum duration of the R-R interval of the ECG ≥1.5 seconds, the OR=8.287 (2.287; 30.040); z=3.219; p=0.001 with respect to development of long-term complications during one year as compared with the control group. Thus, the risk factor for long-term complications is not only the fact that the patient has a permanent form of AF: it also matters which particular variant of the maximum R-R interval duration on the ECG is diagnosed in the patient. The most adverse from the standpoint of long-term complications is the AF with the maximum duration of the R-R interval of the ECG ≥1.5 seconds.
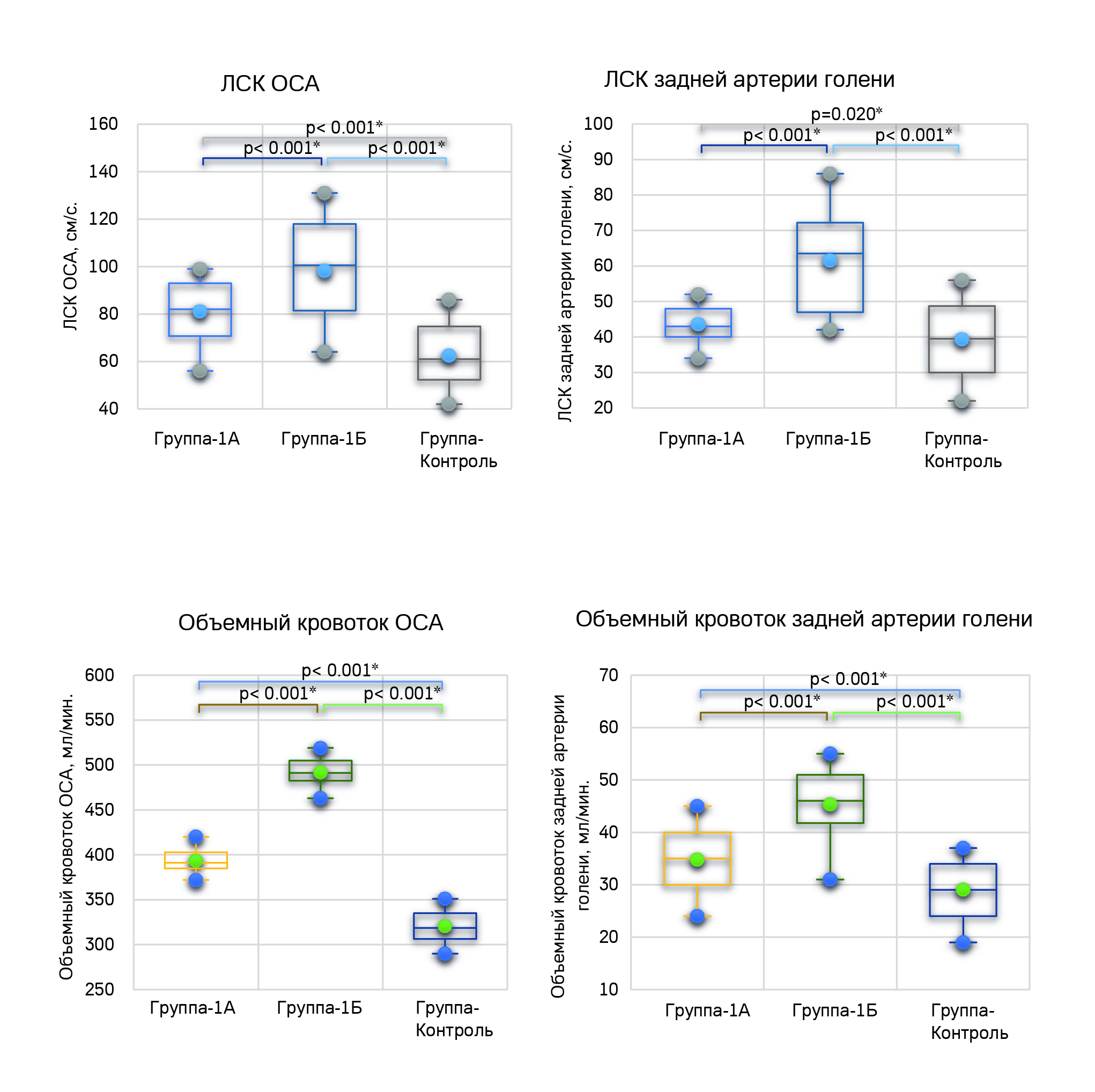
In our work, we believe that the explanation for the revealed fact of a higher incidence of long-term complications in the bradystolic variant of AF should be sought in the features of intra-arterial hemodynamics in this arrhythmia. In the analysis of the main hemodynamic parameters of the main arteries, the first pulse wave, occurring after a long pause of 1.5 seconds or more during AF, was accompanied by a statistically significant increase in all analyzed parameters (Fig. 2).
Notes. LVBF – linear vessel blood flow; CCA – common carotid artery.
Примечания. ЛСК – линейная скорость кровотока; ОСА – общая сонная артерия.
Figure 2. Graphic representation of hemodynamic parameters in subgroups 1A, 1B and the control group according to Doppler ultrasound (p<0.001). Data are presented in the form of medians (transverse line), means (cross), boundaries of the 1st and 3rd quartiles (box boundaries), minimums and maximums (whisker boundaries).
Рисунок 2. Графическое изображение параметров гемодинамики в подгруппах 1А, 1Б и группе контроля по данным УЗДГ. Данные приведены в виде медиан (поперечная линия), средних (крест), границы 1 и 3 квартилей (границы ящика), минимумы и максимумы (границы усов).
We performed an experiment using the “Device for modeling intra-arterial circulation” designed by us. For this purpose, blood flow in the main artery was modeled with a regular heart rhythm, as well as with AF, which is characterized by different intervals between pulse waves below 1.5 and above 1.5 seconds. The indicators we used in the experiment were a 2.5 cm long thread and a piezocrystal pressure sensor that sent the data to an oscilloscope. When simulating the AF, the intensity of the mechanical impact of the free end of the thread on the wall of the rotameter was maximum when the pause between pulse waves was 1.5 seconds or more (9.70±2.52 mm). At this moment, the piezoelectric pressure sensor recorded the maximum increase in pressure inside the rotameter tube by an average of 56% (Fig 3).
Figure 3. Dynamics of changes in pressure inside the rotameter tube, when simulating AF with different durations of the R-R interval, compared with the parameters with a regular pulse wave (in %).
Рисунок 3. Динамика изменения давления внутри трубки ротаметра при имитации ФП с различной продолжительностью интервала R-R по сравнению с параметрами при регулярной пульсовой волне (в %).
DISCUSSION
Currently, scientific research is mainly devoted to predicting the development of AF depending on the characteristics of the ECG pattern [22–24], and studying the development of arterial thromboembolic events using the generally accepted scales [25]. However, to date, the assessment of the risk of developing long-term complications with this rhythm disorder does not take into account the risk of developing the bradysystole, including that against the background of the treatment used; moreover, the existing recommendations do not describe the lower threshold of the average ventricular rate per se. In addition, intra-arterial hemodynamics in AF is currently not sufficiently studied, and its physical modeling is not performed. The question remains open, whether additional risks of developing arterial thromboembolic complications in AF are possible in case of the increased duration of the R-R interval on the ECG, if AF is accompanied by bradysystole, even if that occurs during treatment. In our previous publications, we demonstrated the importance of intra-arterial hemodynamics in the formation of long-term complications both in AF [26, 27] and in other cardiac rhythm disorders, in particular in frequent extrasystoles [28, 29]. We believe that changes in intra-arterial hemodynamics during arrhythmias, namely an increase in parameters during a pulse wave following a long pause between ventricular contractions, may play a key role in the formation of long-term complications. Thus, in the presence of multifocal atherosclerosis, especially in the presence of unstable atheromas (with calcium inclusions, with an uneven surface, with hemorrhages, etc.), the influence of additional factors of mechanical action of an increased pulse pressure wave can become a trigger mechanism for the formation of complicated atherosclerotic plaques, leading to atherothrombosis or embolism along the arterial vessel. Moreover, even one pulse wave can be critical in the development of the said complications. Previously, we characterized the complex of hemodynamic changes in arrhythmias using the term “water hammer,” describing it as a universal mechanism that can develop in that part of the arterial vascular system where the discrete nature of blood flow is recorded [30].
We believe that the features of intra-arterial hemodynamics should be taken into account when treating each patient with AF. A decrease in the average ventricular rate may lead to additional risks of developing long-term vascular complications in this category of patients.
CONCLUSIONS
- Bradysystole in AF is associated with a significantly higher probability of developing remote thromboembolic events.
- The first pulse wave, coming after a long pause between ventricular contractions during AF, leads to a reliable increase in the main hemodynamic parameters of the main arteries (linear blood flow velocity, volumetric blood flow).
- When monitoring the heart rate in AF, it is necessary to avoid bradysystole with the appearance of pauses between ventricular contractions lasting 1.5 seconds or more due to the higher risk of development of stroke, myocardial infarction, and distal arterial embolism in other vascular regions.
ADDITIONAL INFORMATION | ДОПОЛНИТЕЛЬНАЯ ИНФОРМАЦИЯ |
Study funding. The study was the authors' initiative without external funding. | Источник финансирования. Работа выполнена по инициативе авторов без привлечения финансирования. |
Conflict of Interest. The authors declare that there are no obvious or potential conflicts of interest associated with the content of this article. | Конфликт интересов. Авторы декларируют отсутствие явных и потенциальных конфликтов интересов, связанных с содержанием настоящей статьи. |
Contribution of individual authors. O.A. Germanova – study concept and design, data analysis, first draft of the manuscript. Yu.V. Shchukin – scientific data collection, data systematization. G. Galati, R.E.F. Pedretti – final revision of the manuscript. All authors gave their final approval of the manuscript for submission, and agreed to be accountable for all aspects of the work, implying proper study and resolution of issues related to the accuracy or integrity of any part of the work. | Участие авторов. О.А. Германова – идея и дизайн исследования, анализ данных, текст статьи. Ю.В. Щукин – постановка задач исследования, систематизация материала. Дж. Галати, Р.Э.Ф. Педретти – окончательная правка. Все авторы одобрили финальную версию статьи перед публикацией, выразили согласие нести ответственность за все аспекты работы, подразумевающую надлежащее изучение и решение вопросов, связанных с точностью или добросовестностью любой части работы. |
About the authors
Olga A. Germanova
Samara State Medical University
Email: o.a.germanova@samsmu.ru
ORCID iD: 0000-0003-4833-4563
PhD, Associate professor, Director of International Centre for Education and Research in Cardiovascular Pathology and Cardiovisualization
Russian Federation, SamaraYurii V. Shchukin
Samara State Medical University
Email: yu.v.shchukin@samsmu.ru
ORCID iD: 0000-0003-0387-8356
PhD, MD, Professor, Professor of the Department of propedeutical therapy
Russian Federation, SamaraGiuseppe Galati
Samara State Medical University; I.R.C.C.S. Ospedale Multimedica – Cardiovascular Scientific Institute
Email: giuseppe.galati5@gmail.com
ORCID iD: 0000-0002-8001-1249
Senior consultant cardiologist – heart failure and cardiomyopathies specialist at the Division of Cardiology, Cardiovascular Department; Senior researcher at the International Centre for Education and Research in Cardiovascular Pathology and Cardiovisualization
Russian Federation, Samara; Milan, ItalyRoberto Enrico Franco Pedretti
I.R.C.C.S. Ospedale Multimedica – Cardiovascular Scientific Institute; University of Milano Bicocca
Author for correspondence.
Email: robertofrancoenrico.pedretti@multimedica.it
ORCID iD: 0000-0003-1789-8657
MD, Associate professor
Italy, Milan; MilanReferences
- Joglar JA, Chung MK, Armbruster AL, el al. 2023 ACC/AHA/ACCP/HRS Guideline for the Diagnosis and Management of Atrial Fibrillation: A Report of the American College of Cardiology/American Heart Association Joint Committee on Clinical Practice Guidelines. Circulation. 2024;149(1):e1-e156. https://doi.org/10.1161/CIR.0000000000001193
- Emdin CA, Wong CX, Hsiao AJ, et al. Atrial fibrillation as risk factor for cardiovascular disease and death in women compared with men: systematic review and meta-analysis of cohort studies. BMJ. 2016;532:h7013. https://doi.org/10.1136/bmj.h7013
- Odutayo A, Wong CX, Hsiao AJ, et al. Atrial fibrillation and risks of cardiovascular disease, renal disease, and death: systematic review and meta-analysis. BMJ. 2016;354:i4482. https://doi.org/10.1136/bmj.i4482
- Papanastasiou CA, Theochari CA, Zareifopoulos N, et al. Atrial fibrillation is associated with cognitive impairment, all-cause dementia, vascular dementia, and Alzheimer's disease: a systematic review and meta-analysis. J Gen Intern Med. 2021;36:3122-3135. https://doi.org/10.1007/s11606-021-06954-8
- Rattanawong P, Upala S, Riangwiwat T, et al. Atrial fibrillation is associated with sudden cardiac death: a systematic review and meta-analysis. J Interv Card Electrophysiol. 2018;51:91-104. https://doi.org/10.1007/s10840-017-0308-9
- Ruddox V, Sandven I, Munkhaugen J, et al. Atrial fibrillation and the risk for myocardial infarction, all-cause mortality and heart failure: a systematic review and meta-analysis. Eur J Prev Cardiol. 2017;24:1555-1566. https://doi.org/10.1177/2047487317715769
- Alonso A, Krijthe BP, Aspelund T, et al. Simple risk model predicts incidence of atrial fibrillation in a racially and geographically diverse population: the CHARGE-AF consortium. J Am Heart Assoc. 2013;2:e000102. https://doi.org/10.1161/JAHA.112.000102
- Lip GY, Nieuwlaat R, Pisters R, et al. Refining clinical risk stratification for predicting stroke and thromboembolism in atrial fibrillation using a novel risk factor-based approach: the euro heart survey on atrial fibrillation. Chest. 2010;137:263-272. https://doi.org/10.1378/chest.09-1584
- Singer DE, Chang Y, Borowsky LH, et al. A new risk scheme to predict ischemic stroke and other thromboembolism in atrial fibrillation: the ATRIA study stroke risk score. J Am Heart Assoc. 2013;2:e000250. https://doi.org/10.1161/JAHA.113.000250
- Fox KAA, Lucas JE, Pieper KS, et al. Improved risk stratification of patients with atrial fibrillation: an integrated GARFIELD-AF tool for the prediction of mortality, stroke and bleed in patients with and without anticoagulation. BMJ Open. 2017;7:e017157. https://doi.org/10.1136/bmjopen-2017-017157
- Quinn GR, Severdija ON, Chang Y, et al. Wide variation in reported rates of stroke across cohorts of patients with atrial fibrillation. Circulation. 2017;135:208-219. https://doi.org/10.1161/CIRCULATIONAHA.116.024057
- van der Endt VHW, Milders J, Penning de Vries BBL, et al. Comprehensive comparison of stroke risk score performance: a systematic review and meta-analysis among 6 267 728 patients with atrial fibrillation. Europace. 2022;24:1739-1753. https://doi.org/10.1093/europace/euac096
- Opolski G, Torbicki A, Kosior DA, et al. Rate control vs rhythm control in patients with nonvalvular persistent atrial fibrillation: the results of the Polish How to Treat Chronic Atrial Fibrillation (HOT CAFE) Study. Chest. 2004;126:476-486. https://doi.org/10.1378/chest.126.2.476
- Al-Khatib SM, Allen LaPointe NM, Chatterjee R, et al. Rate- and rhythm-control therapies in patients with atrial fibrillation: a systematic review. Ann Intern Med. 2014;160:760-773. https://doi.org/10.7326/M13-1467
- Van Gelder IC, Groenveld HF, Crijns HJGM, et al. Lenient versus strict rate control in patients with atrial fibrillation. N Engl J Med. 2010;362:1363-1373. https://doi.org/10.1056/NEJMoa1001337
- Steinberg BA, Kim S, Thomas L, et al. Increased heart rate is associated with higher mortality in patients with atrial fibrillation (AF): results from the Outcomes Registry for Better Informed Treatment of AF (ORBIT-AF). J Am Heart Assoc. 2015;4:e002031. https://doi.org/10.1161/JAHA.115.002031
- Pandey A, Kim S, Moore C, et al. Predictors and prognostic implications of incident heart failure in patients with prevalent atrial fibrillation. JACC Heart Fail. 2017;5:44-52. https://doi.org/10.1016/j.jchf.2016.09.016
- Song S, Ko JS, Lee HA, et al. Clinical implications of heart rate control in heart failure with atrial fibrillation: Multi-Center Prospective Observation Registry (CODE-AF Registry). Front Cardiovasc Med. 2022;9:787869. https://doi.org/10.3389/fcvm.2022.787869
- Cullington D, Goode KM, Zhang J, et al. Is heart rate important for patients with heart failure in atrial fibrillation? JACC Heart Fail. 2014;2:213-220. https://doi.org/10.1016/j.jchf.2014.01.005
- Steinberg BA, Kim S, Thomas L, et al. Increased heart rate is associated with higher mortality in patients with atrial fibrillation (AF): results from the Outcomes Registry for Better Informed Treatment of AF (ORBIT-AF). J Am Heart Assoc. 2015;4:e002031. https://doi.org/10.1161/JAHA.115.002031
- Groenveld HF, Crijns HJ, Van den Berg MP, et al. The effect of rate control on quality of life in patients with permanent atrial fibrillation: data from the RACE II (Rate Control Efficacy in Permanent Atrial Fibrillation II) study. J Am Coll Cardiol. 2011;58:1795-1803. https://doi.org/10.1016/j.jacc.2011.06.055
- Budaraju D, Neelapu BC, Pal K, et al. Stacked machine learning models to classify atrial disorders based on clinical ECG features: a method to predict early atrial fibrillation. Biomed Tech (Berl). 2023;68(4):393-409. https://doi.org/10.1515/bmt-2022-0430
- Kunts LD, Germanova OA, Reshetnikova YuB, et al. Extrasystolic arrhythmia as an atrial fibrillation predictor. Science and Innovations in Medicine. 2024;9(2):117-123. (In Russ.). [Кунц Л.Д., Германова О.А., Решетникова Ю.Б., и др. Экстрасистолия как предиктор развития фибрилляции предсердий. Наука и инновации в медицине. 2024;9(2):117-123]. https://doi.org/10.35693/SIM624503
- Germanova OA, Galati G, Kunts LD, et al. Predictors of paroxysmal atrial fibrillation: Analysis of 24-hour ECG Holter monitoring. Science and Innovations in Medicine. 2024;9(1):44-48. (In Russ.). [Германова О.А., Галати Д., Кунц Л.Д., и др. Предикторы развития пароксизмальной фибрилляции предсердий: анализ данных суточного мониторирования ЭКГ по Холтеру. Наука и инновации в медицине. 2024;9(1):44-48]. https://doi.org/10.35693/SIM626301
- Pandey A, Okaj I, Ichhpuniani S, et al. Risk Scores for Prediction of Postoperative Atrial Fibrillation After Cardiac Surgery: A Systematic Review and Meta-Analysis. Am J Cardiol. 2023;209:232-240. https://doi.org/10.1016/j.amjcard.2023.08.161
- Germanova O, Galati G, Germanov A, et al. Atrial fibrillation as a new independent risk factor for thromboembolic events: hemodynamics and vascular consequence of long ventricular pauses. Minerva Cardiol Angiol. 2023;71(2):175-181. https://doi.org/10.23736/S2724-5683.22.06000-8
- Germanova OA, Germanov AV, Shchukin YuV. Maximum time between cardiac cycles in atrial fibrillation for assessing the risk of arterial thromboembolism. Russian Journal of Cardiology. 2022;27(7):5007. (In Russ.). [Германова О.А., Германов А.В., Щукин Ю.В. Продолжительность максимального времени между кардиоциклами при фибрилляции предсердий для оценки риска артериальных тромбоэмболических осложнений. Российский кардиологический журнал. 2022;27(7):5007]. https://doi.org/10.15829/1560-4071-2022-5007
- Germanova OA, Germanov AV, Gradinar A, et al. Ischemic Stroke in Patients with Extrasystolic Arrhythmia: Case Series. Psychiatr Danub. 2023;35(Suppl 2):402-407. PMID: 37800264
- Germanova O, Smirnova D, Usenova A, et al. Cryptogenic Stroke In The Context of Pandemic-Related Stress: The Role of Arterial Hemodynamics. Psychiatr Danub. 2022;34(Suppl 8):256-261. URL: https://www.psychiatria danubina.com/UserDocsImages/pdf/dnb_vol34_noSuppl%208/dnb_vol34_noSuppl%208_256.pdf
- Germanova OA, Germanov VA, Shchukin YuV, et al. Modeling of hydraulic shock as one of the main risk factors of main arteries atherosclerosis in arrhythmias. Aspirantskiy Vestnik Povolzhiya. 2020;5-6:43-48. (In Russ.). [Германова О.А., Германов В.А., Щукин Ю.В., и др. Моделирование гидравлического удара как одного из ведущих факторов риска атеросклероза магистральных артерий при нарушениях сердечного ритма. Аспирантский вестник Поволжья. 2020;5-6:43-48]. https://doi.org/10.17816/2072-2354.2020.20.3.43-48
Supplementary files






