An algorithm for secondary prevention of kidney and urinary tract diseases in outpatient clinics
- Authors: Shulaev A.V.1, Radchenko O.R.1, Knni Y.A.1
-
Affiliations:
- Kazan State Medical University
- Issue: Vol 9, No 2 (2024)
- Pages: 131-137
- Section: Public health, organization and sociology of health
- Published: 03.06.2024
- URL: https://innoscience.ru/2500-1388/article/view/397242
- DOI: https://doi.org/10.35693/SIM397242
- ID: 397242
Cite item
Full Text
Abstract
Aim – to evaluate the effectiveness of an algorithm of the medical staff actions during the secondary prevention of kidney and urinary tract diseases in an outpatient polyclinic.
Material and methods. To assess the effectiveness of the proposed algorithm, we conducted a survey among outpatient clinic doctors with job-experience longer than 10 years using a specially developed questionnaire (score from 1 to 10). To assess the consistency of doctors' opinions, the Kendall's Concordance Coefficient (W) was calculated. W > 0.7 was considered as a high degree of agreement between doctors' opinions. To assess the significance of the obtained concordance coefficient, the ÷2 criterion was calculated at a significance level of α ≤0.05.
Results. Our analysis of the doctors' answers revealed that the proposed algorithm can be used as an alternative to sanatorium treatment for the prevention of exacerbations of urinary system diseases.
Conclusion. The medical and organizational measures for the secondary prevention of exacerbations of urinary system diseases, embodied in the algorithm, allow for improving general well-being in patients under dispensary observation. The algorithm was positively assessed by doctors of outpatient clinics.
Full Text
ВВЕДЕНИЕ
Стратегической целью масштабной модернизации отечественного здравоохранения является повышение качества и доступности медицинской помощи [1–5]. Для этого необходимы не только современные диагностические процедуры, лечение и реабилитация, но и эффективные методы вторичной профилактики. Так, согласно исследованиям, у пациентов, страдающих уролитиазом, частота рецидивов в течение первого года достигает 23%, а в течение 5–10 лет после манифестации заболевания – 50% [6, 7].
Совершенствованию методов вторичной профилактики посвящено множество работ [8–12]. При этом большинство авторов отмечает ряд препятствий в проведении диспансерного наблюдения за пациентами с болезнями мочевыделительной системы. Это и дефицит кадров в амбулаторно-поликлиническом звене [9, 13–20], и нежелание пациентов (особенно трудоспособного возраста) приходить в поликлинику на медицинский осмотр вне обострения, и нехватка у медицинского персонала времени для своевременного оповещения пациента о необходимости прийти для обследования, а также трудности (по мнению пациентов) при записи для проведения диагностического обследования и длительность прохождения всех необходимых диагностических исследований [9, 11, 15].
В сложившихся условиях приоритетом в организации оказания медицинской помощи для российского здравоохранения должен стать, по мнению исследователей, профилактический подход «Медицина 4П» [18]. Авторы предлагают использовать программные средства для дистанционного контроля состояния здоровья и телемедицинские технологии при оказании урологической медицинской помощи пациентам [21–23].
Совершенствование методов и тактики лечения пациентов с заболеваниями мочевыделительной системы, внедрение высокотехнологичных, малоинвазивных методов лечения привели к тому, что выживаемость пациентов перестала быть единственной целью лечения и важным аспектом медицинской деятельности стало сохранение качества жизни пациентов [14, 24, 25].
При этом как зарубежными, так и отечественными специалистами отмечается, что важную роль в системе реабилитации диспансерных больных и профилактики осложнений в урологической практике играет терапия с применением бальнеологических лечебных факторов в санаторно-курортных условиях. Достигается стойкая и длительная ремиссия: минеральные воды «вымывают» и бактериального агента, и продукты его жизнедеятельности, а также мелкие камни и кристаллы солей из мочевыводящей системы, создавая условия для выздоровления [2, 26–28].
Однако наше ранее исследование, посвященное изучению уровня востребованности услуг, предоставляемых региональными санаторно-курортными организациями, а также оценке их ресурсной базы и возможности реализации программ по вторичной профилактике, показало, что пациенты трудоспособного возраста на сегодняшний день не обладают достаточными возможностями для ежегодного прохождения реабилитации в санаторных условиях [29]. Поэтому впоследствии мы провели открытое одноцентровое проспективное с группой контроля исследование возможности применения минеральной воды для профилактики обострений болезней почек и мочевыводящих путей с дистанционным контролем состояния здоровья и самочувствия пациентов медицинским персоналом на базе ГАУЗ «Городская поликлиника №18» г. Казани. Немедикаментозное лечение включало в себя: назначение всем пациентам специальной диеты, физической активности (предписывался минимальный двигательный режим не менее 5 тыс. шагов в день) и питьевой режим (основная – 5-6-кратный прием минеральной воды из расчета 4 мл/кг в течение 28–32 дней; контрольная группа – питьевой режим без особенностей). Данное исследование было одобрено локальным этическим комитетом ФГБОУ ВО «Казанский ГМУ» Минздрава России (протокол №6 от 25 июня 2019 года) и показало эффективность применения подобного способа профилактического вмешательства. Основная часть данного клинического исследования была опубликована нами ранее [30].
ЦЕЛЬ
Оценка эффективности алгоритма действий медицинского персонала амбулаторно-поликлинического учреждения при проведении вторичной профилактики болезней почек и мочевыводящих путей у трудоспособного населения.
МАТЕРИАЛ И МЕТОДЫ
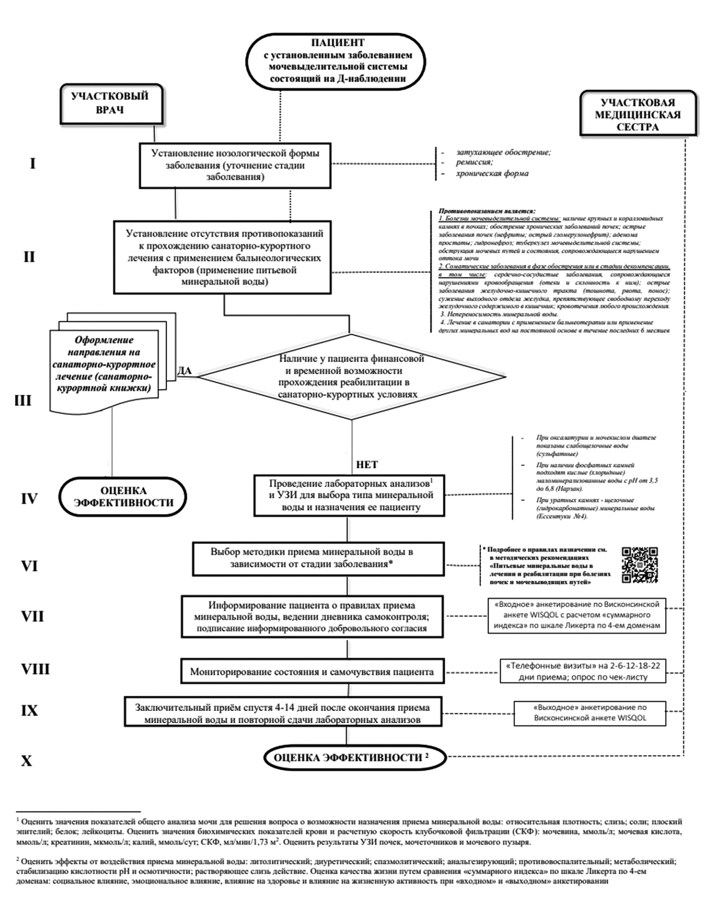
Для оценки эффективности предложенного алгоритма вторичной профилактики (рисунок 1) было проведено двухэтапное исследование. На первом этапе были подведены итоги анкетирования по русскоязычной версии Висконсинской анкеты WISQOL пациентов, участвующих в организационном эксперименте по приему минеральной воды. Проведен расчет «суммарного индекса» по шкале Ликерта по 4 доменам (социальное влияние, эмоциональное влияние, влияние на здоровье и влияние на жизненную активность), и дана комплексная оценка качества жизни больных (рисунки 2–5). На втором этапе было проведено онлайн-анкетирование (https://goo.su/uhrsv) врачей, осуществляющих диспансерное наблюдение за пациентами с болезнями почек и мочевыводящих путей. Ответить на вопросы анкеты было предложено участковым врачам-терапевтам, врачам общей практики, врачам-хирургам и врачам-урологам, так как плановая первичная медико-санитарная помощь, включая проведение диспансерного наблюдения, в амбулаторно-поликлинических учреждениях оказывается именно этими специалистами. Кроме паспортной части, в которую вошли вопросы, касающиеся пола, возраста, специальности и стажа работы, в анкету были внесены вопросы, позволяющие получить информацию о количестве диспансерных пациентов, осмотренных за неделю; о частоте обострений болезней мочевыделительной системы, с которыми пациенты обращаются в медицинскую организацию; об имеющемся у врачей опыте по использованию питьевой минеральной воды в реабилитации пациентов и профилактике обострений. Один из вопросов анкеты был открытым (однако возможность ответить на него была только у тех респондентов, кто отметил в предыдущем вопросе, что назначает минеральную воду пациентам), и посвящен тому, какую воду обычно назначает врач для профилактики обострений и рецидивов болезней мочевыделительной системы. Включение данного вопроса было продиктовано необходимостью сбора информации в отношении обоснованности назначения марки минеральной воды для профилактического воздействия. Оставшиеся вопросы были посвящены оценке эффективности предложенного алгоритма – на эти вопросы отвечали только врачи государственного амбулаторно-поликлинического учреждения, со стажем работы более 15 лет, имеющие опыт в ведении пациентов, принимающих питьевую минеральную воду по назначению или рекомендации врача. Таких специалистов оказалось 48 человек (25,14% из 183 специалистов, первоначально принявших участие в опросе).
Рисунок 1. Алгоритм действий медицинского персонала при назначении питьевой минеральной воды пациентам трудоспособного возраста как метод вторичной профилактики болезней мочевыделительной системы.
Figure 1. An algorithm for medical personnel when prescribing drinking mineral water to patients of working age as a method of secondary prevention of the urinary system diseases.
Рисунок 2. Сравнительные показатели качества жизни (по опроснику «Висконсинская анкета») пациентов основной и контрольной групп с диагнозом пиелонефрит до и после приема минеральной воды.
Figure 2. A comparison of life quality indicators (according to Wisconsin Questionnaire) in patients of the main and control groups with a diagnosis of pyelonephritis before and after drinking mineral water.
Рисунок 3. Сравнительные показатели качества жизни (по опроснику «Висконсинская анкета») пациентов основной и контрольной групп с диагнозом мочекаменная болезнь до и после приема минеральной воды.
Figure 3. A comparison of life quality indicators (according to Wisconsin Questionnaire) in patients of the main and control groups with a diagnosis of urolithiasis before and after drinking mineral water.
Рисунок 4. Сравнительные показатели качества жизни (по опроснику «Висконсинская анкета») пациентов основной и контрольной групп с диагнозом уретрит до и после приема минеральной воды.
Figure 4. A comparison of life quality indicators (according to Wisconsin Questionnaire) in patients of the main and control groups with a diagnosis of urethritis before and after drinking mineral water.
Рисунок 5. Сравнительные показатели качества жизни (по опроснику «Висконсинская анкета») пациентов основной и контрольной групп с диагнозом цистит до и после приема минеральной воды.
Figure 5. A comparison of life quality indicators (according to Wisconsin Questionnaire) in patients of the main and control groups with a diagnosis of cystitis before and after drinking mineral water.
Статистическая обработка результатов анкетирования проводилась с использованием пакета программ Microsoft Office (Microsoft Excel). Обработка результатов исследования включала применение методов параметрической статистики: для количественных переменных были рассчитаны средние величины и ошибка средней арифметической; достоверность различий считали по критерию Стьюдента (t≥1,98; при уровне значимости р≤0,05). Для оценки согласованности мнений врачей был рассчитан коэффициент конкордации; высокая степень согласованности мнений врачей при оценке основных показателей считали при значении коэффициента Кендала W >0,7. Для оценки значимости полученного коэффициента конкордации был рассчитан критерий x2 при уровне значимости α ≤0,05.
РЕЗУЛЬТАТЫ
Исследование оценки эффективности терапии проводили в основной группе пациентов с мочекаменной болезнью, пиелонефритом, уретритом и циститом, принимавших минеральную воду, путем сопоставления и оценки изменений в самочувствии и показателях качества жизни до и после окончания приема минеральной воды, а также в группе контроля.
Суммарный индекс для пациентов с пиелонефритом, оцененный по шкале Ликерта по 4 доменам качества жизни, составил 110,01±6,86 балла (из 140 максимально возможных баллов) для основной группы и 109,85±4,61 балла в контрольной и не имел статистически достоверной разницы (t<1,98; р≥0,05). По данным повторного анкетирования, после окончания приема минеральной воды средние значения по всем показателям качества жизни увеличились в основной группе (рисунок 2): социальное влияние (40 максимально возможных баллов) с 31,31±3,27 балла до 37,67±2,52 балла; эмоциональное влияние (45 максимально возможных баллов): с 37,15±8,33 балла до 43,67±2,31 балла; влияние на здоровье 35,25 (40 максимально возможных баллов): с 30,31±6,14 балла до 39,67±4,58 балла; влияние на жизненную активность (15 максимально возможных баллов): с 11,23±4,46 балла до 14,2±0,64 балла, тогда как в группе контроля значения по шкалам остались фактически на прежнем уровне.
При оценке качества жизни пациентов с мочекаменной болезнью были отмечены следующие особенности: более низкие значения по всем шкалам по сравнению с пациентами с пиелонефритом как в основной, так и в контрольной группах. Таким образом, можно утверждать, что субъективно мочекаменная болезнь переносится пациентами тяжелее, т.к. это отражается на всех сферах их жизнедеятельности. Однако полученные результаты повторного анкетирования пациентов основной группы (после завершения приема минеральной воды) показали улучшение самочувствия по шкале «влияние на здоровье» (12,01±3,2 балла, t=2,13; р≤0,05) (рисунок 3).
Улучшение самочувствия пациентов с уретритом также подтверждается данными, полученными при оценке качества жизни. Так, у всех наблюдавшихся пациентов (основной и контрольной групп), прошедших анкетирование по опроснику «Висконсинская анкета», при первом посещении отмечалась неудовлетворенность общим состоянием, выраженная в первую очередь влиянием на социальную активность и состояние здоровья. Суммарный индекс, оцененный по шкале Ликерта по 4 доменам, составил 88,83±30,01 балла (из 140 максимально возможных баллов) для основной группы и 84,98±26,4 балла в контрольной и не имел статистически достоверной разницы (t<1,98; р≥0,05). По данным повторного анкетирования после окончания приема минеральной воды средние значения по всем показателям качества жизни увеличились в основной группе (рисунок 4): социальное влияние (40 максимально возможных баллов) с 24,69±9,67 балла до 32,6±8,87 балла; эмоциональное влияние (45 максимально возможных баллов): с 28,96±10,46 до 34,1±12,21 балла; влияние на здоровье (40 максимально возможных баллов) с 25,01±7,83 до 30,8±8,6 балла; влияние на жизненную активность (15 максимально возможных баллов):с 10,17±3,08 до 11,84±2,42 балла. В группе контроля значения по шкалам остались на прежнем уровне.
У пациентов с циститом достоверного улучшения показателей качества жизни нами выявлено не было (рисунок 5).
На втором этапе исследования нами был разработан, обоснован и апробирован алгоритм действий медицинского персонала амбулаторно-поликлинического учреждения при проведении вторичной профилактики обострений при болезнях почек и мочевыводящих путей, заключающийся в приеме пациентами питьевой минеральной воды в домашних условиях с применением дистанционного мониторинга состояния здоровья и самочувствия пациентов.
На втором этапе исследования в опросе приняли участие 183 специалиста, из них: 156 врачей-терапевтов, 11 врачей общей практики и 14 врачей-хирургов и урологов, оказывающих первичную медико-санитарную помощь в амбулаторно-поликлинических учреждениях г. Казани. По полу опрошенные распределились следующим образом: 86,34% женщин и 13,66% мужчин. Средний стаж работы составил 16,34±5,67 года; при этом 18,58% врачей указали, что совмещают работу. Врачи терапевтического профиля ответили, что за неделю работу со стационарной они проводят диспансерный прием 2–3 пациентов, врачи-урологи отметили от 10 до 27 человек с комментариями о том, что многие обращаются в течение года повторно. На опыт наблюдения за пациентами, принимающими минеральную питьевую воду в профилактических целях, указали 82 (44,8%) врача, чей стаж работы в амбулаторно-поликлинических учреждениях составлял более 10 лет. На вопрос о марке назначаемой воды были даны следующие ответы: «Ессентуки», «Нарзан», «Боржоми», реже врачи рекомендовали «Волжанку». 10 врачей остановили свой выбор на воде “Donat Mg”.
Данные, полученные при анализе первой части анкеты, позволяют нам утверждать, что врачи, которые практикуют профилактику обострений болезней почек и мочевыделительной системы при помощи назначения питьевого приема минеральной воды, к назначению минеральный воды подходят правильно (в соответствии с рекомендациями к лечебному применению, представленными в приложении А ГОСТ Р «54316-2020. Воды минеральные природные питьевые. Общие технические условия»).
Вторая часть анкеты, включавшая предложенный алгоритм, была доступна только тем респондентам (48 человек), которые являлись врачами амбулаторно-поликлинического звена, со стажем работы более 15 лет и имели опыт в наблюдении за пациентами, принимавшими для профилактики обострений болезней мочевыделительной системы минеральную воду. Врачам предлагалось оценить алгоритм с точки зрения своего клинического опыта, ответив на ряд вопросов. Результаты представлены в таблице 1.
Таблица 1. Оценки врачей амбулаторно-поликлинических учреждений алгоритма вторичной профилактики болезней мочевыделительной системы
Table 1. The algorithm for secondary prevention of urinary system diseases estimated by outpatient clinics doctors
Критерий оценки | Средний балл (n=48) | W |
Учитывается возможность безопасного ведения профилактического вмешательства (клинический диагноз, наличие сопутствующих заболеваний, состояние пациента на момент обследования с оценкой качества жизни, особенностей приема минеральной воды и изменение самочувствия пациента, фиксация им возникающих осложнений заболевания и результатов проводимой реабилитации) | 8,92±1,42 | 0,814 |
Существует возможность коррекции плана профилактического вмешательства на любом этапе, реализуется принцип персонифицированного подхода к каждому пациенту | 9,08±0,84 | 0,713 |
Риск применяемых вариантов медицинского профилактического вмешательства, представленного в алгоритме, минимальный | 8,71±1,25 | 0,728 |
Предложенный алгоритм является оптимальным по соотношению пользы и затраченного времени (средств) | 7,23±1,54 | 0,722 |
Результатом оказания медицинской профилактической помощи для пациента, представленной в алгоритме, будет достижение длительной ремиссии | 5,94±2,89 | 0,732 |
Применение предложенного алгоритма может привести к длительному времени ожидания диагностического обследования и излишней нагрузке на лабораторную службу | 3,01±0,72 | 0,741 |
Оформление медицинской документации (статистическая отчетность) при проведении представленного в алгоритме профилактического вмешательства является сложным и непонятным | 3,42±1,67 | 0,704 |
Перечень указанных в алгоритме методов диагностики (УЗИ, анализ крови, мочи) до начала оказания медицинского профилактического вмешательства и по завершении не будет оплачиваться ТФОМС | 5,61±2,31 | 0,728 |
В алгоритме представлены методы с доказанной эффективностью | 8,64±0,92 | 0,754 |
В предложенном алгоритме существует возможность оценки эффективности лечения в установленные сроки | 9,04±0,83 | 0,808 |
Я готов(а) поучаствовать в ведении пациентов предложенным в алгоритме способом (в %) | Да | 34 (70,83%) |
Не знаю | 8 (16,67%) | |
Нет | 6 (12,5%) |
В алгоритм входит: программа консультирования пациента, состоящего на Д-учете (первичный и заключительный прием); дистанционный (удаленный) контроль самочувствия пациента медицинским работником (участковым врачом или средним медицинским персоналом – участковой медицинской сестрой) амбулаторно-поликлинической службы; перечень вопросов, необходимых для контроля самочувствия пациента при «телефонных визитах» (представлен отдельно) и частота их проведения; количество и перечень минимально необходимых диагностических манипуляций и осмотров; обоснование перечня показателей для оценки эффективности проведенного профилактического вмешательства.
ОБСУЖДЕНИЕ
Группа врачей-специалистов, принимавших участие в опросе, имела достаточный стаж работы в амбулаторно-поликлинических учреждениях и опыт непосредственного проведения диспансерного наблюдения за пациентами с болезнями мочевыделительной системы, что свидетельствует об их возможности оценить эффективность предложенных в алгоритме реабилитационных мероприятий на основании многолетней клинической практики. Необходимо отметить, что врачи поликлиники в целом позитивно оценивают внедрение предлагаемого алгоритма как дополнительного мероприятия при проведении диспансерной работы, отмечая при этом вероятность положительного эффекта для пациентов. В части, касающейся возможности проведения дистанционного мониторинга состояния пациентов, предложенный алгоритм согласуется с проведенным ранее исследованием М.Ю. Просянникова и соавт. (2019), которое было посвящено изучению возможности дистанционного наблюдения за параметрами общего анализа мочи: в исследовании приняли участие 12 пациентов с диагнозом «мочекаменная болезнь, мочекислый уролитиаз», находившихся под наблюдением уролога [22]. Исследователи предложили пациентам проведение самостоятельного динамического контроля за показателями мочи (для этого пациентам на 2 месяца выдавали портативный анализатор мочи и было рекомендовано соблюдать рН мочи на уровне 6,5–7,0). Результаты эксперимента показали, что полного растворения камней удалось достичь у 10 (83,3%) пациентов. Врач, дистанционно наблюдавший за параметрами общих анализов пациентов, контролировал 11 параметров: уровень рН мочи, количество, содержание лейкоцитов, эритроцитов, нитритов в мочеиспускательном канале, при необходимости связывался с пациентом и корректировал тактику лечения [22]. Также полученные нами результаты согласовываются с работой по изучению возможностей вовлечения больных мочекаменной болезнью с помощью инструментов IT-медицины в процесс лечения и профилактики рецидивов мочекаменной болезни (модификации образа жизни), которые рассмотрены в исследовании Д.А. Галицкой и соавт. (2021) [23].
ЗАКЛЮЧЕНИЕ
Получены новые данные о возможности применения медико-организационных мероприятий по вторичной профилактике обострений болезней почек и мочевыводящих путей у пациентов в условиях амбулаторно-поликлинических учреждений. Данные мероприятия могут рассматриваться как «санаторий-замещающие технологии» – комплекс мер, включающих применение альтернативных немедикаментозных методов профилактики (в рассмотренном случае: прием питьевой минеральной воды, соблюдение принципов здорового питания, адекватной двигательной активности, режима и отдыха) лицами, состоящими на диспансерном наблюдении с хроническими формами заболеваний вне фазы обострения в домашних условиях при обязательном медицинском консультировании и дистанционном сопровождении врачом (медицинской сестрой) амбулаторно-поликлинического учреждения.
Доказано, что внедрение модели санаторий-замещающих технологий в организацию оказания медицинской помощи позволяет добиться улучшения общего самочувствия у пациентов, состоящих на диспансерном наблюдении с заболеваниями «мочекаменная болезнь» и «хронический пиелонефрит». Врачами амбулаторно-поликлинических учреждений, имеющими клинический опыт ведения диспансерных пациентов, предложенный алгоритм был оценен позитивно.
ДОПОЛНИТЕЛЬНАЯ ИНФОРМАЦИЯ | ADDITIONAL INFORMATION |
Источник финансирования. Работа выполнена по инициативе авторов без привлечения финансирования. | Study funding. The study was the authors' initiative without external funding. |
Конфликт интересов. Авторы декларируют отсутствие явных и потенциальных конфликтов интересов, связанных с содержанием настоящей статьи. | Conflict of Interest. The authors declare that there are no obvious or potential conflicts of interest associated with the content of this article. |
Участие авторов. Ю.А. Кнни, О.Р. Радченко – сбор и обработка научного материала, написание текста; О.Р. Радченко, А.В. Шулаев – разработка концепции исследования, редактирование текста. Все авторы одобрили финальную версию статьи перед публикацией, выразили согласие нести ответственность за все аспекты работы, подразумевающую надлежащее изучение и решение вопросов, связанных с точностью или добросовестностью любой части работы. | Contribution of individual authors. Yu.A. Knni, O.R. Radchenko – have been responsible for scientific data collection, its systematization and analysis, wrote the first draft of the manuscript; O.R. Radchenko, A.V. Shulaev – developed the study concept, performed detailed manuscript editing and revision. All authors gave their final approval of the manuscript for submission, and agreed to be accountable for all aspects of the work, implying proper study and resolution of issues related to the accuracy or integrity of any part of the work. |
About the authors
Aleksei V. Shulaev
Kazan State Medical University
Author for correspondence.
Email: alexs_shu@mail.ru
ORCID iD: 0000-0002-2073-2538
PhD, Professor, Head of the Department of General Hygiene
Russian Federation, KazanOlga R. Radchenko
Kazan State Medical University
Email: radch.olga@gmail.com
ORCID iD: 0000-0002-0616-2620
PhD, Professor, Department of General Hygiene, Department of Preventive Medicine and Human Ecology
Russian Federation, KazanYurii A. Knni
Kazan State Medical University
Email: happyknni@yandex.ru
ORCID iD: 0000-0002-5467-7100
assistant of Department of General Hygiene
Russian Federation, KazanReferences
- Pushkar DYu, Kasyan GR, Malkhasyan VA, et al. COVID-19: impact on the urological service of the Russian Federation. Experimental and Clinical Urology. 2020;2:13-17. (In Russ.). [Пушкарь Д.Ю., Касян Г.Р., Малхасян В.А., и др. COVID-19: влияние на урологическую службу Российской Федерации. Экспериментальная и клиническая урология. 2020;2:13-17]. https://doi.org/10.29188/2222-8543-2020-12-2-13-17
- Glybochko PV, Alyaev YuG. Russian urology in the XXI century. Urology. 2015;5:4-9. (In Russ.). [Глыбочко П.В., Аляев Ю.Г. Российская урология в XXI веке. Урология. 2015;5:4-9].
- Pushkar DYu, Rasner PI, Kotenko DV, et al. Treatment of patients with lower urinary tract symptoms in Moscow. Urology. 2019;3:7-12. (In Russ.). [Пушкарь Д.Ю., Раснер П.И., Котенко Д.В., и др. Лечение больных с симптомами нижних мочевыводящих путей в Москве. Урология. 2019;3:7-12]. https://doi.org/10.18565/urology.2019.3.7-12
- Starodubov VI, Kalininskaya AA, Son IM, et al. Primary health care: mechanisms for improvement. Vienna, 2016. (In Russ.). [Стародубов В.И., Калининская А.А., Сон И.М., и др. Первичная медико-санитарная помощь: механизмы совершенствования. Вена, 2016]. ISBN 978-3-903115-45-3
- Pushkar DYu, Rasner PI, Aboyan IA, et al. LUTS/BPH – who treats? The results of the epidemiologic study. Urology. 2019;1:5-15. (In Russ.). [Пушкарь Д.Ю., Раснер П.И., Абоян И.А., и др. СНМП/ДГПЖ – кто лечит? Результаты эпидемиологического исследования. Урология. 2019;1:5-15]. https://doi.org/10.18565/urology.2019.16.5-15
- Kaprin AD, Apolikhin OI, Sivkov AV, et al. The incidence of urolithiasis in the Russian Federation from 2005 to 2020. Experimental and Clinical Urology. 2022;15(2):10-17. (In Russ.). [Каприн А.Д., Аполихин О.И., Сивков А.В., и др. Заболеваемость мочекаменной болезнью в Российской Федерации с 2005 по 2020 гг. Экспериментальная и клиническая урология. 2022;15(2):10-17]. https://doi.org/10.29188/2222-8543-2022-15-2-10-17
- Payton P, Eter A. Periprocedural Concerns in the Patient with Renal Disease. Clinics in Podiatric Medicine and Surgery. 2019;36(1)59-82.
- Alpeeva TA, Ermakova KL, Shtokolova KV. About the effectiveness of the use of beds and medical personnel in the health care system of the region. Regional Vestnik. 2017;1(6):21-23. (In Russ.). [Алпеева Т.А., Ермакова К.Л., Штоколова К.В. О результативности использования коечного фонда и врачебного персонала в системе здравоохранения региона. Региональный вестник. 2017;1(6):21-23].
- Bolotova AV. The system and problems of staffing of health care in the Russian Federation. Bulletin of Contemporary Studies. 2018;10.8(25):78-81. (In Russ.). [Болотова А.В. Система и проблемы кадровой обеспеченности здравоохранения РФ. Вестник современных исследований. 2018;10.8(25):78-81].
- Vlasova OV. Bed management as a tool for improving the quality of medical services. Azimuth of Scientific Research: Economics and Administration. 2020;9(1):122-125. (In Russ.). [Власова О.В. Управление коечным фондом как инструмент повышения качества медицинских услуг. Азимут научных исследований: экономика и управление. 2020;9(1):122-125]. https://doi.org/10.26140/anie-2020-0901-0029
- Gevorkyan AR. Оrganizing the activities of an outpatient urological service in the difficult epidemiological situation. Vrach. 2020;31(11):29-32. (In Russ.). [Геворкян А.Р. Организация деятельности амбулаторной урологической службы в условиях сложной эпидемиологической обстановки. Врач. 2020;31(11):29-32]. https://doi.org/10.29296/25877305-2020-11-05
- Endovitsky AA, Lyutsko VV. Dynamics of the incidence of diseases of the genitourinary system in the Russian Federation in 2015-2021. Current problems of health care and medical statistics. 2022;4:256-268. (In Russ.). [Ендовицкий А.А., Люцко В.В. Динамика заболеваемости болезнями мочеполовой системы в Российской Федерации в 2015–2021 гг. Современные проблемы здравоохранения и медицинской статистики. 2022;4:256-268]. https://doi.org/10.24412/2312-2935-2022-4-256-268
- Endovitsky AA, Lyutsko VV. Workforce analysis of urologist in Russian Federation. Current problems of health care and medical statistics. 2021;1:592-601. (In Russ.). [Ендовицкий А.А., Люцко В.В. Анализ обеспеченности врачами-урологами в Российской Федерации. Современные проблемы здравоохранения и медицинской статистики. 2021;1:592-601]. https://doi.org/10.24411/2312-2935-2021-00042
- Ermakova KL, Shtokolova KV, Gavrilova AV. Analysis of the effectiveness of the use of resources of the medical organization. Internet Archive Scholar. 2018;2(27):244-248. (In Russ.). [Ермакова К.Л., Штоколова К.В., Гаврилова А.В. Анализ эффективности использования ресурсов медицинской организации. Молодежный научный вестник. 2018;2(27):244-248].
- Krivykh EA. The main tasks and development prospects of the personnel policy of the healthcare system of the Russian Federation and Khanty-Mansiysk autonomous region – Ugra. Current problems of health care and medical statistics. 2020;2:324-332. (In Russ.). [Кривых Е.А. Основные задачи и перспективы развития кадровой политики системы здравоохранения Российской Федерации и Ханты-Мансийского автономного округа – Югры. Современные проблемы здравоохранения и медицинской статистики. 2020;2:324-332]. https://doi.org/10.24411/2312-2935-2020-00049
- Kuraeva VM, Menshikova LI, Rugol LV. Regulatory and staffing problems of urological care provided to adults and children in outpatient settings. Social Aspects of Population Health. 2021;67(6). (In Russ.). [Кураева В.М., Меньшикова Л.И., Руголь Л.В. Проблемы нормативного и кадрового обеспечения урологической помощи, оказываемой в амбулаторных условиях взрослому и детскому населению. Социальные аспекты здоровья населения. 2021;67(6)]. https://doi.org/10.21045/2071-5021-2021-67-6-9
- Naygovzina NB, Son IM, Zimina EV. Approaches to assessing the number of health care managers. Current problems of health care and medical statistics. 2022;4:537-558. (In Russ.). [Найговзина Н.Б., Сон И.М., Зимина Э.В. Подходы к оценке численности управленческих кадров здравоохранения. Современные проблемы здравоохранения и медицинской статистики. 2022;4:537-558]. https://doi.org/10.24412/2312-2935-2022-4-537-558
- Apolikhin OI, Katibov MI, Shaderkin IA, Prosyannikov MYu. Principles of “4P Medicine” in the organization of health care in the context of urological diseases. Experimental and Clinical Urology. 2017;1:4-9. (In Russ.). [Аполихин О.И., Катибов М.И., Шадеркин И.А., Просянников М.Ю. Принципы «Медицины 4П» в организации медицинской помощи на примере урологических заболеваний. Экспериментальная и клиническая урология. 2017;1:4-9].
- Son IM, Menshikova LI, Flegler NA, et al. The role of local governments in solving the problems of providing primary health care personnel. Healthсare Manager. 2021;1:54-63. (In Russ.). [Сон И.М., Меньшикова Л.И., Флеглер Н.А., и др. Роль органов местного самоуправления в решении проблем обеспеченности медицинскими кадрами первичного звена здравоохранения. Менеджер здравоохранения. 2021;1:54-63]. https://doi.org/10.21045/1811-0185-2021-1-54-63
- Rugol LV, Son IM, Menshikova LI. Influence of primary care staffing on its performance efficiency. Social aspects of public health. 2020;66(3):10. (In Russ.). [Руголь Л.В., Сон И.М., Меньшикова Л.И. Влияние кадрового обеспечения первичной медико-санитарной помощи на эффективность ее деятельности. Социальные аспекты здоровья населения. 2020;66(3):10]. https://doi.org/10.21045/2071-5021-2020-66-3-9
- Apolikhin OI, Perkhov VI, Shaderkin IA, Vladzimirsky AV. Model of a patient-centered system of urological health care using eHealth technologies. Experimental and Clinical Urology. 2018;1:14-19. (In Russ.). [Аполихин О.И., Перхов В.И., Шадеркин И.А., Владзимирский А.В. Модель пациент-центрированной системы организации медицинской помощи в урологии с использованием телемедицинских технологий. Экспериментальная и клиническая урология. 2018;1:14-19].
- Prosyannikov MYu, Shaderkin IA, Konstantinova OV, et al. Remote monitoring of urinalysis parametres during treatment of patients with uric acid stones by citrate-containing compounds. Urology. 2019;3:60-65. (In Russ.). [Просянников М.Ю., Шадеркин И.А., Константинова О.В., и др. Дистанционный мониторинг показателей общего анализа мочи при лечении цитратными смесями пациентов с мочекислым уролитиазом. Урология. 2019;3:60-65]. https://doi.org/10.18565/urology.2019.3.60-65
- Galitskaya DA, Konstantinova OV, Prosyannikov MYu, et al. IT-medical instruments for modification of lifestyle in patients with urolithiasis. Experimental and Clinical Urology. 2021;14(1):78-86. (In Russ.). [Галицкая Д.А., Константинова О.В., Просянников М.Ю., и др. Инструменты IT-медицины в модификации образа жизни пациентов с мочекаменной болезнью. Экспериментальная и клиническая урология. 2021;14(1):78-86]. https://doi.org/10.29188/2222-8543-2021-14-1-78-86
- Pushkar DYu, Gvozdev MYu, Tupikina NV. Questionnaires as a tool for assessing the quality of life in urogynecological patients. Russian Bulletin of Obstetrician-Gynecologist. 2013;13(1):23-29. (In Russ.). [Пушкарь Д.Ю., Гвоздев М.Ю., Тупикина Н.В. Вопросники как инструмент оценки качества жизни пациентки урогинекологического профиля. Российский вестник акушера-гинеколога. 2013;13(1):23-29].
- Spradling, K, Ganesan C, Conti S. Medical Treatment and Prevention of Urinary Stone Disease. Urol Clin North Am. 2022;49(2):335-344.
- Neumark AI, Saldan IP, Davydov AV. Use of mineral water in rehabilitation therapy of patients with nephrolithiasis. Urological Bulletin. 2018;8(2):18-23. (In Russ.). [Неймарк А.И., Салдан И.П., Давыдов А.В. Использование минеральных вод в реабилитационной терапии больных мочекаменной болезнью. Урологические ведомости. 2018;8(2):18-23]. https://doi.org/10.17816/uroved8218-23
- Knoll T. Epidemiology, Pathogenesis, and Pathophysiology of Urolithiasis. Eur Urol Suppl. 2019;9(12):802-806.
- Murabito S, Hallmark BF. Complications of Kidney Disease. Nursing Clinics of North America. 2018;53(4):579-588.
- Knni YuA, Radchenko OR, Urazmanov AR, Balabanova LA. Modern state and development of sanatorium-resort potential of the Republic of Tatarstan. Kazan Medical Journal. 2020;101(4):561-569. (In Russ.). [Кнни Ю.А., Радченко О.Р., Уразманов А.Р., Балабанова Л.А. Современное состояние и развитие санаторно-курортного потенциала Республики Татарстан. Казанский медицинский журнал. 2020;101(4):561-569]. https://doi.org/10.17816/KMJ2020-561
- Radchenko OR, Knni YuA, Arkhipov EV. Evaluation of the natural medical-table hydrocarbonate mineral water application effectiveness in rehabilitation therapy of patients with urolithiasis. Kazan Medical Journal. 2022;103(3):402-408. (In Russ.). [Радченко О.Р., Кнни Ю.А., Архипов Е.В. Оценка эффективности применения природной лечебно-столовой гидрокарбонатной минеральной воды в реабилитационной терапии пациентов с мочекаменной болезнью. Казанский медицинский журнал. 2022;103(3):402-408]. https://doi.org/10.17816/KMJ2022-402
Supplementary files








